留言板

尊敬的读者、作者、审稿人, 关于本刊的投稿、审稿、编辑和出版的任何问题, 您可以本页添加留言。我们将尽快给您答复。谢谢您的支持!

姓名
邮箱
手机号码
标题
留言内容
验证码

AI辅助阴道彩超联合血清标志物诊断IVF-ET后宫内外复合妊娠的临床价值

朱丽 刘何利 毛剑 郑斌 王树群

朱丽, 刘何利, 毛剑, 郑斌, 王树群. AI辅助阴道彩超联合血清标志物诊断IVF-ET后宫内外复合妊娠的临床价值[J]. 昆明医科大学学报, 2025, 46(10): 113-120. doi: 10.12259/j.issn.2095-610X.S20251014
引用本文: 朱丽, 刘何利, 毛剑, 郑斌, 王树群. AI辅助阴道彩超联合血清标志物诊断IVF-ET后宫内外复合妊娠的临床价值[J]. 昆明医科大学学报, 2025, 46(10): 113-120. doi: 10.12259/j.issn.2095-610X.S20251014
Li ZHU, Heli LIU, Jian MAO, Bin ZHENG, Shuqun WANG. Clinical Value of AI-Assisted Transvaginal Color Ultrasound Combined with Serum Markers in Diagnosing Heterotopic Pregnancy after IVF-ET[J]. Journal of Kunming Medical University, 2025, 46(10): 113-120. doi: 10.12259/j.issn.2095-610X.S20251014
Citation: Li ZHU, Heli LIU, Jian MAO, Bin ZHENG, Shuqun WANG. Clinical Value of AI-Assisted Transvaginal Color Ultrasound Combined with Serum Markers in Diagnosing Heterotopic Pregnancy after IVF-ET[J]. Journal of Kunming Medical University, 2025, 46(10): 113-120. doi: 10.12259/j.issn.2095-610X.S20251014

AI辅助阴道彩超联合血清标志物诊断IVF-ET后宫内外复合妊娠的临床价值

doi: 10.12259/j.issn.2095-610X.S20251014
基金项目: 河北省医学研究课题(20220682)
详细信息
    作者简介:

    朱丽(1983~),女,河北沧州人,医学学士,主治医师,主要从事超声检查工作

    通讯作者:

    刘何利,E-mail:hag33hf@163.com

  • 中图分类号: R445;R711

Clinical Value of AI-Assisted Transvaginal Color Ultrasound Combined with Serum Markers in Diagnosing Heterotopic Pregnancy after IVF-ET

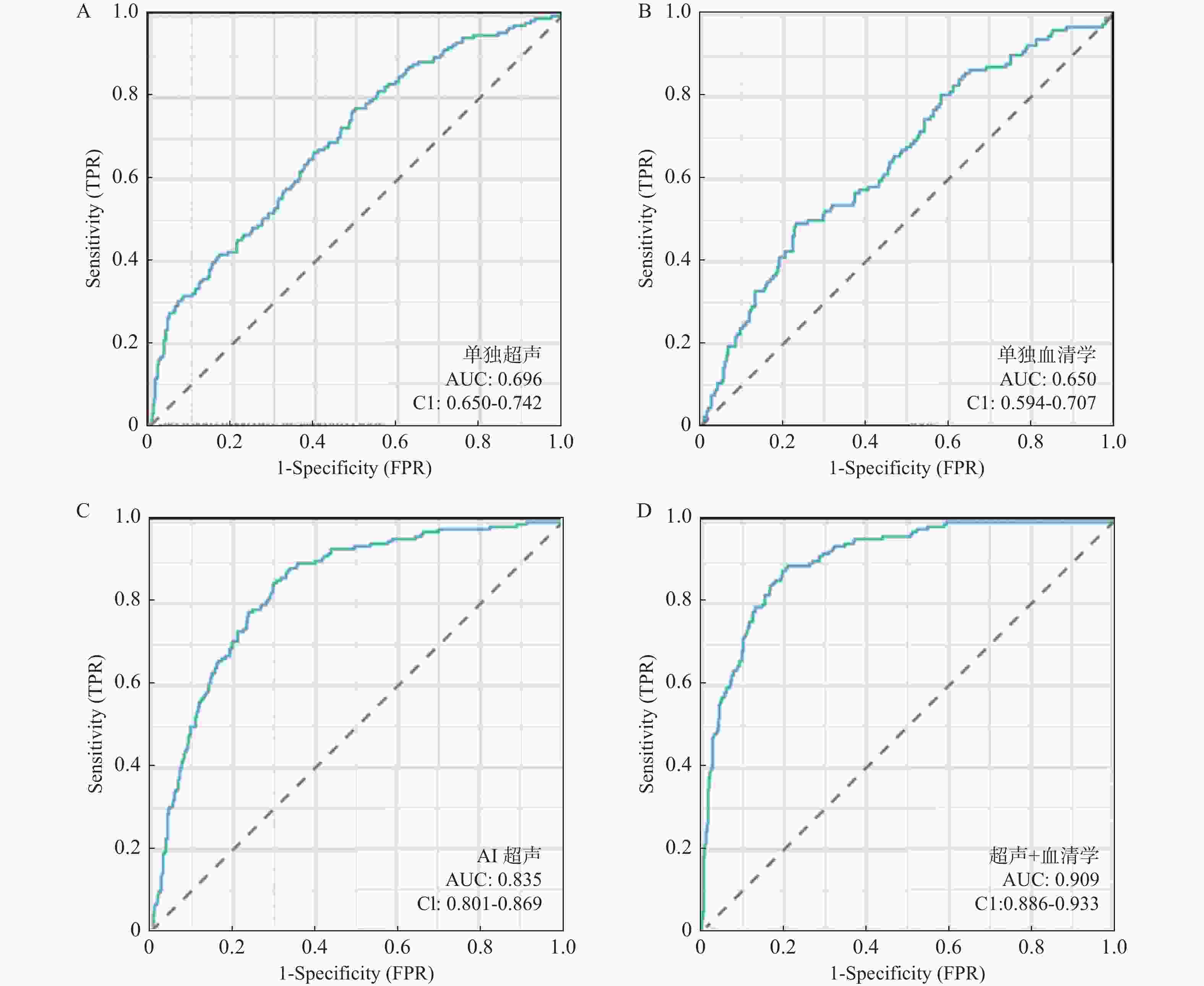
  • 摘要:   目的  探讨AI辅助阴道彩超联合血清标志物对IVF-ET后宫内外复合妊娠(HP)的早期诊断价值。  方法  本研究为回顾性病例对照研究,纳入2022年1月至2024年12月期间在河北省沧州中西医结合医院接受IVF-ET治疗后确诊为HP的86例患者。对照组包括同期86例正常宫内妊娠和86例单纯异位妊娠患者。所有患者均通过临床诊断、影像学检查及手术确认诊断。采用AI超声影像分析模型和血清学指标(hCG、PAPP~A、APA、孕酮、PlGF)联合评估HP的诊断效能。通过计算灵敏度、特异度、阳性预测值和阴性预测值,比较各组的诊断性能。  结果  AI超声影像分析模型的AUC值为0.835,显著优于传统超声(AUC=0.696,P < 0.01)。血清hCG和PAPP~A分别为(36210±9820) IU/L和(0.81±0.25)μg/mL。联合诊断的AUC值为0.909,敏感性为94.2%,特异性为88.4%,阳性预测值为91.6%,阴性预测值为92.8%。  结论  AI辅助超声联合血清学指标显著提高HP早期诊断准确性,优于单一方法,为临床提供了可靠工具。
  • 图  1  超声影像

    A:正常宫内妊娠的超声影像;B:左侧输卵管妊娠的超声影像;C:右侧输卵管妊娠的影像。

    Figure  1.  Ultrasound image

    图  2  ROC曲线分析

    A:单独超声的ROC曲线;B:单独血清学指标的ROC曲线;C:AI超声的ROC曲线;D:联合诊断的ROC曲线。

    Figure  2.  ROC curve analysis

    表  1  患者基本特征[($\bar x \pm s $)/n (%)]

    Table  1.   Basic characteristics of patients[($\bar x \pm s $)/n (%)]

    指标 HP组
    n=86)
    正常宫内
    妊娠组(n=86)
    单纯异位
    妊娠组(n=86)
    F/χ2 P
    平均年龄(岁) 33.2 ± 4.1 32.8 ± 3.9 32.5 ± 4.0 0.75 0.474
    平均孕周(周) 6.8 ± 1.2 6.9 ± 1.1 7.0 ± 1.0 0.5 0.607
    阴道出血 71 (82.6) 13 (15.1) 53 (61.6) 95.2 <0.001*
    下腹痛 56 (65.1) 16 (18.6) 63 (73.3) 65.8 <0.001*
      *P < 0.05。
    下载: 导出CSV

    表  2  阴道彩色多普勒超声检查特征[($\bar x \pm s $)/n (%)]

    Table  2.   Features of transvaginal color doppler ultrasound examination[($\bar x \pm s $)/n (%)]

    超声特征 数值结果 标准差 (SD) 95%置信区间 (CI
    宫内妊娠孕囊平均直径 (mm) 18.6 ± 4.2 4.2 17.2 ~ 19.9
    胎心搏动检出率(%) 76(88.4) - -
    输卵管妊娠发生率(%) 64(74.4) - -
    异位妊娠平均包块直径 (mm) 24.3 ± 6.1 6.1 22.2 ~ 26.4
    “火环征”阳性率(%) 55(64.0) - -
    高流量血流信号出现率(%) 50(58.1) - -
    输卵管妊娠包块位于输卵管中段 44(52.3) - -
    异位妊娠出现血管影像征 36(41.8) - -
    下载: 导出CSV

    表  3  人工智能影像分析模型评估指标

    Table  3.   Evaluation metrics of artificial intelligence imaging analysis model

    评估指标 评估指标数值 95% 置信区间 (CI
    准确率 (%) 92.4 90.1 ~94.7
    敏感性(%) 94.2 92.5 ~ 95.9
    特异性 (%) 88.4 85.6 ~ 91.2
    F1-score 93.2 91.5 ~ 94.9
    AUC 0.835 0.801 ~ 0.869
    下载: 导出CSV

    表  4  血清hCG与PAPP-A检测结果[($\bar x \pm s $)/n (%)]

    Table  4.   Serum hCG and PAPP-A test results[($\bar x \pm s $)/n (%)]

    指标 测量值 95% 置信区间 (CI P
    血清hCG (IU/L) 36210 ± 9820 2800045000 0.001**
    血清PAPP-A(μg/mL) 0.81 ± 0.25 0.68 ~ 0.94 0.003**
    血清APA阳性率 (%) 45(52.3) 41.5 ~ 63.1 0.021*
    血清孕酮 (ng/mL) 12.5 ± 4.2 10.1 ~ 14.9 0.008**
    血清 PlGF (pg/mL) 22.6 ± 8.1 18.4 ~ 26.8 0.004**
      *P < 0.05;**P < 0.01。
    下载: 导出CSV

    表  5  不同诊断方法的敏感性与特异性

    Table  5.   Sensitivity and specificity of different diagnostic methods

    诊断方法敏感性 (%)特异性 (%)阳性预测值 (%)阴性预测值 (%)
    传统超声单独诊断81.473.279.474.2
    AI超声单独诊断84.576.784.380.1
    血清学指标联合诊断78.272.181.575.9
    联合诊断(超声 + 血清学指标)94.288.491.692.8
    下载: 导出CSV
  • [1] Han Q S, Zhou Y, Xu Y, et al. Optimal timing of GnRH antagonist initiation in IVF-ET: A retrospective cohort study on advanced maternal age women[J]. Front Endocrinol (Lausanne), 2024, 15: 1340230. doi: 10.3389/fendo.2024.1340230
    [2] Wang R, Pan W, Yu L, et al. AI-based optimal treatment strategy selection for female infertility for first and subsequent IVF-ET cycles[J]. J Med Syst, 2023, 47(1): 87. doi: 10.1007/s10916-023-01967-8
    [3] Zhu S, Fan Y, Lan L, et al. Heterotopic pregnancy secondary to in vitro fertilization-embryo transfer: Risk factors and pregnancy outcomes[J]. Front Med (Lausanne), 2022, 9: 864560. doi: 10.3389/fmed.2022.864560
    [4] Mao Y, Peng Y, Zheng M, et al. First-trimester ultrasound diagnosis and risk factor analysis of cesarean scar pregnancy after in vitro fertilization-embryo transfer[J]. Quant Imaging Med Surg, 2024, 14(7): 5028-5039. doi: 10.21037/qims-23-1239
    [5] Li X, Cai P, Ouyang Y, et al. Heterotopic interstitial pregnancy: Early ultrasound diagnosis of 179 cases after in vitro fertilization-embryo transfer[J]. J Ultrasound Med, 2023, 42(4): 915-922. doi: 10.1002/jum.16103
    [6] 邵慧娟, 郑晓凤, 李琪, 等. 胚胎移植宫内外复合妊娠合并输卵管及黄体破裂休克1例并文献复习[J]. 生殖医学杂志, 2023, 32(4): 610-612. doi: 10.3969/j.issn.1004-3845.2023.04.021
    [7] Chen X, Chen F, Zhu W, et al. Treatment effects of laparoscopy versus laparotomy on heterotopic pregnancy after in vitro fertilization and embryo transfer[J]. Int J Gynaecol Obstet, 2023, 163(2): 689-696. doi: 10.1002/ijgo.14919
    [8] 尚琴琴, 刘何利. 经阴道彩色多普勒超声诊断IVF-ET术后宫内外复合妊娠效果及腹腔镜手术后妊娠结局[J]. 中国计划生育学杂志, 2024, 32(5): 1117-1120. doi: 10.3969/j.issn.1004-8189.2024.05.027
    [9] Maleki A, Khalid N, Rajesh Patel C, et al. The rising incidence of heterotopic pregnancy: Current perspectives and associations with in-vitro fertilization[J]. Eur J Obstet Gynecol Reprod Biol, 2021, 266: 138-144. doi: 10.1016/j.ejogrb.2021.09.031
    [10] Orsi M, Motta F, Fedele F, et al. Heterotopic cervical and isthmic pregnancy[J]. Ultrasound Obstet Gynecol, 2024, 63(6): 841-842. doi: 10.1002/uog.27603
    [11] Heremans R, Valentin L, Sladkevicius P, et al. Imaging in gynecological disease (24): Clinical and ultrasound characteristics of ovarian mature cystic teratomas[J]. Ultrasound Obstet Gynecol, 2022, 60(4): 549-558. doi: 10.1002/uog.24904
    [12] Bartusevicius A, Bartuseviciene E, Maseviciene M, et al. Heterotopic tubal choriocarcinoma coexistent with a viable intrauterine pregnancy: A case report[J]. Medicina (Kaunas), 2024, 60(8): 1226.
    [13] Conover C A, Oxvig C. The pregnancy-associated plasma protein-A (PAPP-A) story[J]. Endocr Rev, 2023, 44(6): 1012-1028. doi: 10.1210/endrev/bnad017
    [14] Pasinska M, Balcerek E, Repczynska A, et al. The levels of pregnancy-associated plasma protein (PAPP-A) and chorionic gonadotropin (β-hCG) in the blood serum of women with hypothyroidism in the 1st trimester of pregnancy[J]. Int J Womens Health, 2023, 15: 167-176. doi: 10.2147/IJWH.S386414
    [15] van Dijk C E, van Gils A L, van Zijl M D, et al. Cervical pessary versus vaginal progesterone in women with a singleton pregnancy, a short cervix, and no history of spontaneous preterm birth at less than 34 weeks' gestation: Open label, multicentre, randomised, controlled trial[J]. BMJ, 2024, 384: e077033.
    [16] Gladstone R A, Ahmed S, Huszti E, et al. Midpregnancy placental growth factor screening and early preterm birth[J]. JAMA Netw Open, 2024, 7(11): e2444454. doi: 10.1001/jamanetworkopen.2024.44454
    [17] Branch D W, Lim M Y. How I diagnose and treat antiphospholipid syndrome in pregnancy[J]. Blood, 2024, 143(9): 757-768. doi: 10.1182/blood.2023020727
    [18] Zhang Y Z, Zhou L, Tian L. A mid-pregnancy risk prediction model for gestational diabetes mellitus based on the maternal status in combination with ultrasound and serological findings[J]. Exp Ther Med, 2020, 20(1): 293-300. doi: 10.3892/etm.2020.8690
    [19] 张芸, 丁霞, 李刚, 等. 人工智能技术评估早孕期胎盘体积应用价值分析[J]. 中国初级卫生保健, 2024, 38(3): 56-59. doi: 10.3969/j.issn.1001-568X.2024.03.0015
    [20] 陈菲, 李茂林, 蒋玉婷, 等. 深度卷积网络模型可自动识别与分割胰腺及其肿瘤: 基于3D V-Net[J]. 分子影像学杂志, 2024, 47(11): 1170-1175.
    [21] Huang Y, Yao Z, Li L, et al. Deep learning radiopathomics based on preoperative US images and biopsy whole slide images can distinguish between luminal and non-luminal tumors in early-stage breast cancers[J]. EBiomedicine, 2023, 94: 104706. doi: 10.1016/j.ebiom.2023.104706
    [22] Elsayed S, Farah N, Anglim M. Heterotopic pregnancy: Case series and review of diagnosis and management[J]. Case Rep Obstet Gynecol, 2023, 2023: 2124191.
    [23] 温召迎. 经腹部超声联合经阴道超声在宫外孕诊断中的应用价值[J]. 临床医学研究与实践, 2022, 7(32): 110-113.
    [24] Vaidakis D, Papapanou M, Siristatidis C S. Autologous platelet-rich plasma for assisted reproduction[J]. Cochrane Database Syst Rev, 2024, 4(4): CD013875.
    [25] Craciunas L, Tsampras N, Raine-Fenning N, et al. Intrauterine administration of human chorionic gonadotropin (hCG) for subfertile women undergoing assisted reproduction[J]. Cochrane Database Syst Rev, 2018, 10(10): CD011537.
    [26] Houser M, Kandalaft N, Khati N J. Ectopic pregnancy: A resident's guide to imaging findings and diagnostic pitfalls[J]. Emerg Radiol, 2022, 29(1): 161-172. doi: 10.1007/s10140-021-01974-7
    [27] 宋淑花. 经阴道彩色多普勒超声在宫外孕破裂与卵巢黄体破裂鉴别诊断中的临床价值[J]. 基层医学论坛, 2024, 28(33): 76-79.
    [28] Harzif A K, Hyaswicaksono P, Kurniawan R H, et al. Heterotopic pregnancy: Diagnosis and pitfall in ultrasonography[J]. Gynecol Minim Invasive Ther, 2021, 10(1): 53-56. doi: 10.4103/GMIT.GMIT_92_19
    [29] Zhou H, Chen W, Chen C, et al. Predictive value of ultrasonic artificial intelligence in placental characteristics of early pregnancy for gestational diabetes mellitus[J]. Front Endocrinol (Lausanne), 2024, 15: 1344666. doi: 10.3389/fendo.2024.1344666
    [30] Li W B, Du Z C, Liu Y J, et al. Prediction of axillary lymph node metastasis in early breast cancer patients with ultrasonic videos based deep learning[J]. Front Oncol, 2023, 13: 1219838. doi: 10.3389/fonc.2023.1219838
  • [1] 王虹粤, 李停玉, 石雨, 冯润林, 曹昆琼.  SPOC+翻转课堂与AI融合在放射科教学中的实践与效果, 昆明医科大学学报. doi: 10.12259/j.issn.2095-610X.S20250920
    [2] 王晓燕, 万鑫蕊, 许世涛, 陈薇, 毛红艳, 王霖, 马志强.  肺结核合并侵袭性肺曲霉菌感染血清标志物检测分析, 昆明医科大学学报. doi: 10.12259/j.issn.2095-610X.S20250320
    [3] 张笑笑, 刘璐璐, 严凤, 杨金兰, 王志强, 胡美丽.  保定市3个县农村妇女人工智能辅助宫颈癌筛查结果分析, 昆明医科大学学报. doi: 10.12259/j.issn.2095-610X.S20241021
    [4] 黄艳荣, 李明颖, 高梦莹, 相立峰, 晏家骢, 李永刚.  时差成像技术和人工智能在ART治疗中的应用, 昆明医科大学学报. doi: 10.12259/j.issn.2095-610X.S20240724
    [5] 张怡雯, 王锡铭, 李子龙, 张新章, 陈昌贤, 刘为军, 张振勇.  人工智能在肛肠疾病诊治中的研究进展, 昆明医科大学学报. doi: 10.12259/j.issn.2095-610X.S20240201
    [6] 李远森, 陈铖, 田衍, 舒若, 徐玉, 李媛华.  海洛因成瘾者不同戒断时间肠道屏障损伤血清标志物的研究, 昆明医科大学学报. doi: 10.12259/j.issn.2095-610X.S20230709
    [7] 朱恒满, 苏真芳, 王华伟, 唐菊, 张从飞, 刘清梅, 刘映宏, 高建梅, 饶猛.  基于体外受精-胚胎移植患者健康信息需求的节点健康教育模式构建及应用, 昆明医科大学学报. doi: 10.12259/j.issn.2095-610X.S20220146
    [8] 赵曼林, 李清, 许伟标, 黄芩, 韦焘.  疤痕子宫患者行体外受精-胚胎移植后选择性单胚移植的临床结局, 昆明医科大学学报.
    [9] 马璠, 李晓霞, 肖波.  彩色多普勒检测胎儿脐带螺旋和妊娠结局分析, 昆明医科大学学报.
    [10] 胡顺琴, 鲁潇凝, 许静, 唐丹, 孙倩, 刘奇云.  经阴道彩色多普勒超声在产前诊断血管前置中的价值, 昆明医科大学学报.
    [11] 马媛, 战忠利, 孙保存, 赵永和, 胡早秀.  肺大细胞癌蛋白标志物的表达及临床意义, 昆明医科大学学报.
    [12] 宋家美, 陈慧, 徐佩琦, 孟昱时.  女性基础睾酮水平对体外受精-胚胎移植妊娠结局的影响, 昆明医科大学学报.
    [13] 侯峰强.  3种血清标志物在胰腺癌诊断中的价值, 昆明医科大学学报.
    [14] 黄燕玲.  定量三维彩色多普勒超声联合血清β-HCG检查对胎盘功能低下的诊断, 昆明医科大学学报.
    [15] 沈燕.  彩色多普勒超声在活体肝移植术中的应用价值, 昆明医科大学学报.
    [16] 赵东岩.  TRFIA、FQ-PCR方法联合检测乙肝标志物的应用探讨, 昆明医科大学学报.
    [17] 雷俊华.  经阴道彩色多普勒超声在剖宫产术后子宫切口观察中的价值, 昆明医科大学学报.
    [18] 芮桥安.  血清肿瘤标志物联检在结肠直肠癌诊断中的价值, 昆明医科大学学报.
    [19] 徐飞.  经阴道彩色多普勒超声在剖宫产后瘢痕处妊娠的诊断价值, 昆明医科大学学报.
    [20] 马永红.  超声联合肿瘤标志物在卵巢良恶性肿瘤中的鉴别诊断价值, 昆明医科大学学报.
  • 加载中
图(2) / 表(5)
计量
  • 文章访问数:  122
  • HTML全文浏览量:  92
  • PDF下载量:  7
  • 被引次数: 0
出版历程
  • 收稿日期:  2025-03-03
  • 刊出日期:  2025-10-28

目录

    /

    返回文章
    返回