留言板

尊敬的读者、作者、审稿人, 关于本刊的投稿、审稿、编辑和出版的任何问题, 您可以本页添加留言。我们将尽快给您答复。谢谢您的支持!

姓名
邮箱
手机号码
标题
留言内容
验证码

血清miR-140与miR-335-5p联合临床指标构建肝硬化门静脉高压患者上消化道出血的预警模型

尤莉 李宁 高芸君 李永胜 武雅峰 李建生

尤莉, 李宁, 高芸君, 李永胜, 武雅峰, 李建生. 血清miR-140与miR-335-5p联合临床指标构建肝硬化门静脉高压患者上消化道出血的预警模型[J]. 昆明医科大学学报.
引用本文: 尤莉, 李宁, 高芸君, 李永胜, 武雅峰, 李建生. 血清miR-140与miR-335-5p联合临床指标构建肝硬化门静脉高压患者上消化道出血的预警模型[J]. 昆明医科大学学报.
Li YOU, Ning LI, Yunjun GAO, Yongsheng LI, Yafeng WU, Jiansheng LI. Construction of An Early Warning Model for Upper Gastrointestinal Bleeding in Patients with Cirrhotic Portal Hypertension Based on Serum miR-140 and miR-335-5p Combined with Clinical Indicators[J]. Journal of Kunming Medical University.
Citation: Li YOU, Ning LI, Yunjun GAO, Yongsheng LI, Yafeng WU, Jiansheng LI. Construction of An Early Warning Model for Upper Gastrointestinal Bleeding in Patients with Cirrhotic Portal Hypertension Based on Serum miR-140 and miR-335-5p Combined with Clinical Indicators[J]. Journal of Kunming Medical University.

血清miR-140与miR-335-5p联合临床指标构建肝硬化门静脉高压患者上消化道出血的预警模型

基金项目: 太原市科技计划项目(202231)
详细信息
    作者简介:

    尤莉(1982~),女,河北行唐人,护理本科,副主任护师,主要从事肝硬化门静脉高压、上消化道出血临床诊治及研究工作

    通讯作者:

    李建生,E-mail:83812104@qq.com

  • 中图分类号: R446;R575.4

Construction of An Early Warning Model for Upper Gastrointestinal Bleeding in Patients with Cirrhotic Portal Hypertension Based on Serum miR-140 and miR-335-5p Combined with Clinical Indicators

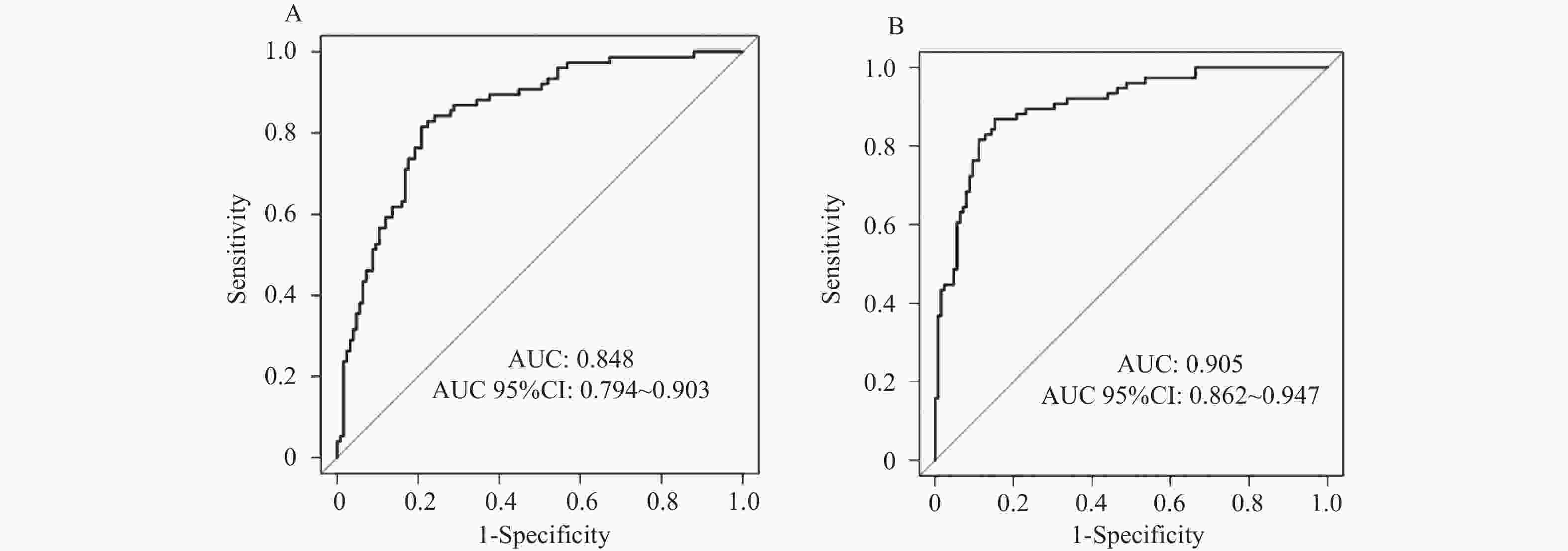
  • 摘要:   目的   基于血清微小核糖核酸-140(micro ribonucleic acid-140,miR-140)与微小核糖核酸-335-5p(micro ribonucleic acid-335-5p,miR-335-5p)联合临床指标构建肝硬化门静脉高压(cirrhosis with portal hypertension,CPH)患者上消化道出血(upper gastrointestinal bleeding,UGIB)的预警模型,并评估其预测效能。  方法   选取2021年3月至2024年8月太原市中心医院CPH患者作为研究对象,按照7∶3的比例分为训练集与验证集,随访1年,统计UGIB发生情况,收集临床资料,检测血清miR-140、miR-335-5p水平,采用Lasso-Logistic回归分析筛选CPH并发UGIB的独立预测因子,构建预警模型,采用校正曲线、受试者工作特征(receiver operating characteristic,ROC)曲线及临床决策曲线(decision curve analysis,DCA)评价和验证预警模型的价值。  结果   本研究最终选取289例CPH患者,按照7∶3的比例分为训练集(203例)与验证集(86例)。随访1年,训练集203例CPH患者中失访2例,未发生UGIB 125例,发生UGIB 76例。验证集86例CPH患者中失访1例,未发生UGIB 54例,发生UGIB 31例。Lasso-Logistic回归分析,Child-Pugh分级、食管静脉曲张程度、门静脉内径、红细胞分布宽度(red cell distribution width,RDW)、血红蛋白(hemoglobin,Hb)、miR-140、miR-335-5p是CPH并发UGIB的独立影响因素(P < 0.05);基于Child-Pugh分级、食管静脉曲张程度、门静脉内径、RDW、Hb等5项临床指标构建M1预警模型,在此基础上联合miR-140和miR-335-5p构建M2预警模型,两个预警模型均拟合良好(P > 0.05);在训练集和验证集中,校正曲线显示,M1预警模型的一致性指数为0.802、0.806,校准度为0.800、0.801,M2预警模型的一致性指数为0.867、0.871,校准度为0.859、0.862,提示M2预警模型具有优异的区分能力和较高的预测精度;ROC曲线分析,M2、M1预警模型在训练集和验证集中预测CPH并发UGIB的曲线下面积(area under the curve,AUC)为0.905(95%CI:0.862~0.947)、0.898(95%CI:0.827~0.969),敏感度为88.16%、83.87%,特异度为86.40%、81.48%,经Delong检验,M2预警模型的预测价值显著优于M1预警模型(Z = 2.192、1.986,P = 0.035、0.041);且M2预警模型的预测性能更优;DCA曲线显示,在训练集和验证集中M1、M2预警模型在10%~100%的广泛阈概率范围内,均展现出显著且稳定的临床正向净获益,且M2预警模型临床效用性更强。  结论   基于血清miR-140与miR-335-5p联合临床指标构建的预警模型是预测CPH患者发生UGIB风险的有效工具,可实现早期风险分层并优化临床决策。
  • 图  1  Lasso回归系数路径图

    Figure  1.  Lasso regression coefficient path diagram

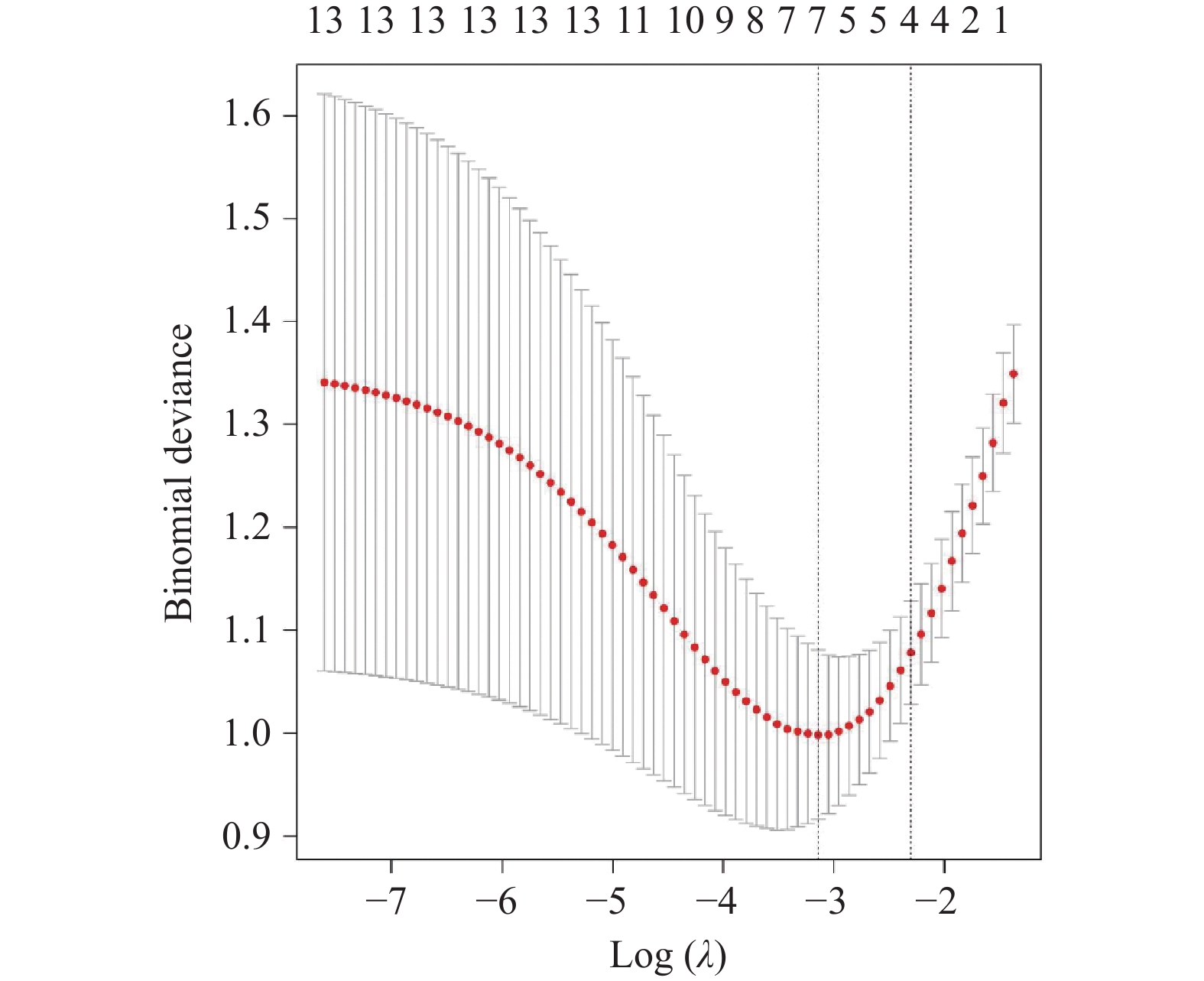
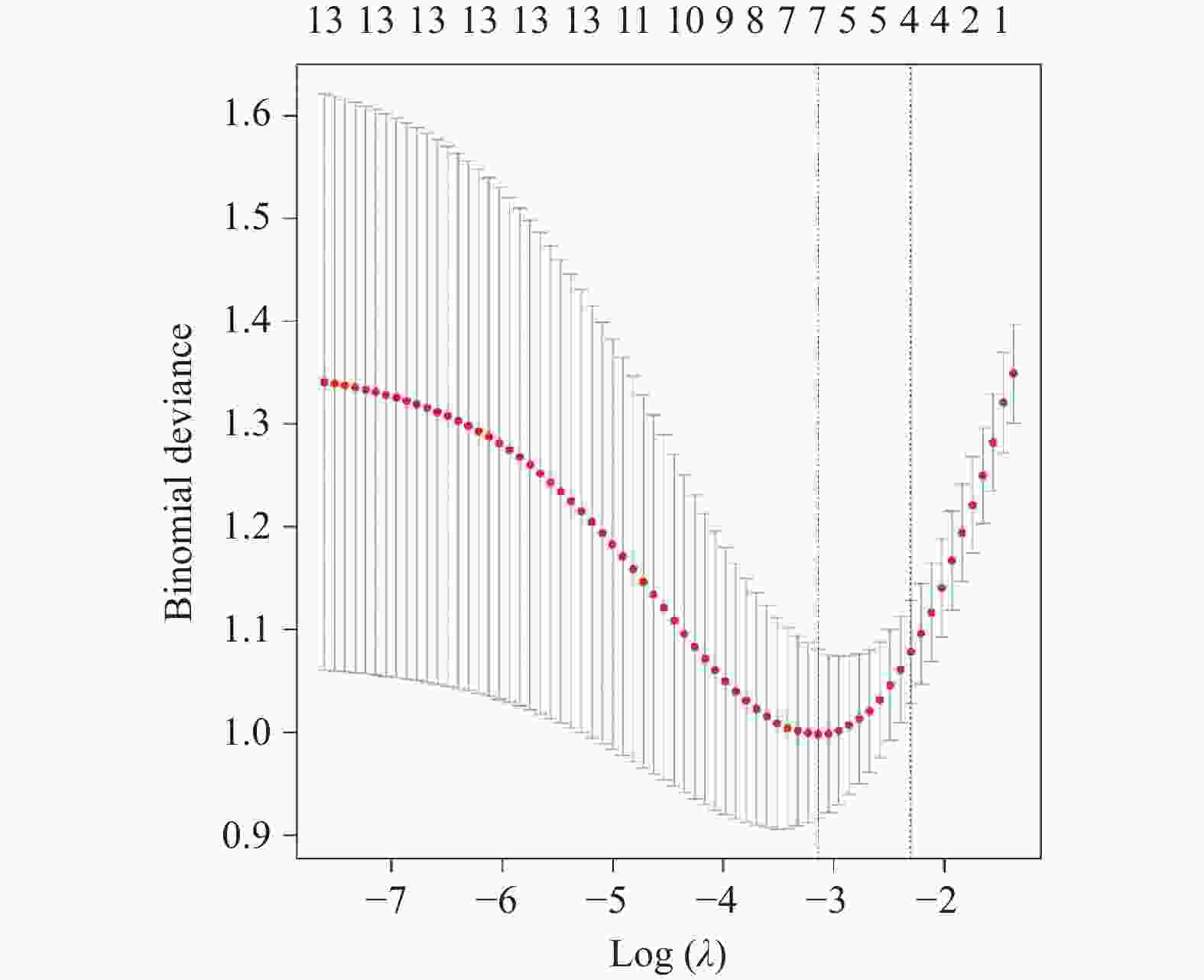
    图  2  Lasso回归交叉验证图

    Figure  2.  Lasso regression cross-validation diagram

    图  3  M1预警模型的列线图

    Figure  3.  Nomogram of M1 early warning model

    图  4  M2预警模型的列线图

    Figure  4.  Nomogram of M2 early warning model

    图  5  M1与M2预警模型在训练集中的校正曲线

    A:M1预警模型的校正曲线;B:M2预警模型的校正曲线。

    Figure  5.  Calibration curves of M1 and M2 early warning models in the training set

    图  6  M1与M2预警模型在训练集中的ROC曲线

    A:M1预警模型的ROC曲线;B:M2预警模型的ROC曲线。

    Figure  6.  ROC curves of M1 and M2 early warning models in the training set

    图  7  M1与M2预警模型在训练集中的DCA曲线

    A:M1预警模型的DCA曲线;B:M2预警模型的DCA曲线。

    Figure  7.  DCA curves of M1 and M2 early warning models in the training set

    图  8  M1与M2预警模型在验证集中的校正曲线

    A:M1预警模型的校正曲线;B:M2预警模型的校正曲线。

    Figure  8.  Adjustment curves of M1 and M2 early warning models in the validation set

    图  9  M1与M2预警模型在验证集中的ROC曲线

    A:M1预警模型的ROC曲线;B:M2预警模型的ROC曲线。

    Figure  9.  ROC curves of M1 and M2 early warning models in the validation set

    图  10  M1与M2预警模型在验证集中的DCA曲线

    A:M1预警模型的DCA曲线;B:M2预警模型的DCA曲线。

    Figure  10.  DCA curves of M1 and M2 early warning models in the validation set

    表  1  miR-140、miR-335-5p引物序列

    Table  1.   Primer sequences for miR-140 and miR-335-5p

    指标引物序列
    miR-140正向引物:5′-CCGCTAGTTGATGCAT-3′
    反向引物:5′-GCAGGGAGGTCTT-3′
    miR-335-5p正向引物:5′-AGCATGGACGTTCGTCTG-3′
    反向引物:5′-AACCACGGTTTGGTCCTTGG-3′
    U6正向引物:5′-CTCGCCTTAGTCGTCACCC-3′
    反向引物:5′-CGCCGAAGTTGCATTCCAG-3′
    下载: 导出CSV

    表  2  训练集与验证集的临床资料、血清miR-140、miR-335-5p比较[($ \bar x \pm s $)/n(%)]

    Table  2.   Comparison of clinical data,serum miR-140 and miR-335-5p between training set and validation set [($ \bar x \pm s $)/n(%)]

    资料 训练集 验证集
    UGIB组
    n = 76)
    非UGIB组
    n = 125)
    t/χ2/u P UGIB组
    n = 31)
    非UGIB组
    n = 54)
    t/χ2/u P
    性别 0.095 0.758 0.041 0.841
     男 47(61.84) 80(64.00) 20(64.52) 36(66.67)
     女 29(38.16) 45(36.00) 11(35.48) 18(33.33)
    年龄(岁) 52.61 ± 5.28 51.94 ± 5.47 0.853 0.395 51.62 ± 5.17 52.33 ± 5.50 0.585 0.560
    BMI(kg/m2 22.58 ± 1.42 22.39 ± 1.32 0.962 0.338 22.60 ± 1.29 22.35 ± 1.47 0.788 0.433
    基础疾病
     高血压 14(18.42) 20(16.00) 0.197 0.657 6(19.35) 9(16.67) 0.098 0.754
     糖尿病 9(11.84) 14(11.20) 0.019 0.890 4(12.90) 5(9.26) 0.025 0.873
     高脂血症 18(23.68) 32(25.60) 0.093 0.761 7(22.58) 10(18.52) 0.203 0.652
    饮酒史 43(56.58) 38(30.40) 13.464 <0.001* 18(58.06) 16(29.63) 6.635 0.010*
    肝硬化病程(年) 6.33 ± 1.57 6.06 ± 1.44 1.246 0.214 6.20 ± 1.63 6.17 ± 1.39 0.090 0.929
    肝硬化病因 0.648 0.517 0.351 0.726
     乙型肝炎肝硬化 42(55.26) 73(58.40) 18(58.06) 32(59.26)
     酒精性肝硬化 21(27.63) 36(28.80) 9(29.03) 19(35.19)
     丙型肝炎肝硬化 7(9.21) 11(8.80) 3(9.68) 2(3.70)
     其他 6(7.89) 5(4.00) 1(3.23) 1(1.85)
    Child-Pugh分级 3.897 <0.001* 2.783 0.005*
     A级 13(17.11) 46(36.80) 4(12.90) 21(38.89)
     B级 25(32.89) 51(40.80) 12(38.71) 21(38.89)
     C级 38(50.00) 28(22.40) 15(48.39) 12(22.22)
    食管静脉曲张程度 3.413 0.001* 2.548 0.011*
     轻度 9(11.84) 39(31.20) 4(12.90) 19(35.19)
     中度 24(31.58) 44(35.20) 11(35.48) 21(38.89)
     重度 43(56.58) 42(33.60) 16(51.61) 14(25.93)
    门静脉内径(cm) 1.51 ± 0.18 1.25 ± 0.12 12.281 <0.001* 1.50 ± 0.16 1.23 ± 0.11 9.195 <0.001*
    WBC(×109/L) 8.44 ± 0.85 8.50 ± 0.88 0.475 0.636 8.48 ± 0.91 8.53 ± 0.86 0.253 0.801
    PLT(×109/L) 85.62 ± 12.74 87.49 ± 15.03 0.905 0.367 86.11 ± 13.16 89.02 ± 16.25 0.849 0.398
    RDW(%) 15.82 ± 2.61 14.27 ± 1.35 5.538 <0.001* 15.91 ± 2.70 14.32 ± 1.56 3.448 0.001*
    Hb(g/L) 93.76 ± 15.23 108.85 ± 21.28 5.396 <0.001* 94.15 ± 17.14 109.20 ± 23.37 3.131 0.002*
    ALB(g/L) 29.15 ± 3.87 32.26 ± 3.31 6.054 <0.001* 29.27 ± 3.53 32.31 ± 3.30 3.986 <0.001*
    AST(U/L) 57.46 ± 10.02 51.92 ± 9.40 3.952 <0.001* 57.84 ± 10.28 52.08 ± 9.67 2.583 0.012*
    ALT(U/L) 45.38 ± 6.15 42.10 ± 5.73 3.827 <0.001* 45.42 ± 6.03 42.37 ± 5.59 2.353 0.021*
    GGT(U/L) 39.52 ± 8.27 33.08 ± 6.95 5.923 <0.001* 40.01 ± 8.84 33.46 ± 7.22 3.706 <0.001*
    TBiL(μmol/L) 26.65 ± 5.52 23.14 ± 4.17 5.108 <0.001* 26.80 ± 5.72 23.31 ± 4.25 3.205 0.002
    miR-140 1.05 ± 0.12 1.16 ± 0.18 4.725 <0.001* 1.04 ± 0.11 1.14 ± 0.16 3.083 0.003*
    miR-335-5p 1.02 ± 0.10 1.13 ± 0.14 5.982 <0.001* 1.03 ± 0.10 1.12 ± 0.12 3.529 0.001*
    用药史
    非选择性β受体阻滞剂 45(59.21) 78(62.40) 0.203 0.653 19(61.29) 33(61.11) 0.000 0.987
    质子泵抑制剂 58(76.32) 90(72.00) 0.453 0.501 24(77.42) 39(72.22) 0.277 0.599
    他汀类药物 13(17.11) 22(17.60) 0.008 0.929 5(16.13) 9(16.67) 0.004 0.9749
      *P < 0.05。
    下载: 导出CSV

    表  3  自变量赋值方法

    Table  3.   Independent variable assignment method

    自变量赋值方法
    饮酒史无=0,有=1
    Child-Pugh分级A级=1,B级=2,C级=3
    食管静脉曲张程度轻度=1,中度=2,重度=3
    门静脉内径连续变量,以实际值录入
    RDW连续变量,以实际值录入
    AST连续变量,以实际值录入
    ALT连续变量,以实际值录入
    GGT连续变量,以实际值录入
    TBiL连续变量,以实际值录入
    Hb连续变量,以实际值录入
    ALB连续变量,以实际值录入
    miR-140连续变量,以实际值录入
    miR-335-5p连续变量,以实际值录入
    下载: 导出CSV

    表  4  CPH并发UGIB的Logistic回归分析

    Table  4.   Logistic regression analysis of CPH complicated with UGIB

    变量 β S.E. Waldχ2 P OR 95%CI
    Child-Pugh分级
     A级 1.000
     B级 1.201 0.350 11.732 0.001* 3.324 2.010~5.480
     C级 1.370 0.320 18.289 <0.001* 3.935 2.458~6.301
    食管静脉曲张程度
     轻度
     中度 1.033 0.281 13.415 <0.001* 2.810 1.726~4.582
     重度 1.276 0.300 17.908 <0.001* 3.582 2.230~5.751
    门静脉内径 0.462 0.120 14.610 <0.001* 1.587 1.270~1.960
    RDW 0.434 0.111 15.524 <0.001* 1.544 1.259~1.890
    Hb −0.859 0.180 22.784 <0.001* 0.424 0.318~0.565
    miR-140 −0.978 0.192 26.012 <0.001* 0.376 0.280~0.505
    miR-335-5p −0.927 0.185 25.016 <0.001* 0.396 0.298~0.526
    常数项 −2.752 0.550 25.108 <0.001*
      *P < 0.05。
    下载: 导出CSV
  • [1] Shung D L, Laine L. Review article: Upper gastrointestinal bleeding - review of current evidence and implications for management[J]. Aliment Pharmacol Ther, 2024, 59(9): 1062-1081. doi: 10.1111/apt.17949
    [2] 谈理, 杨洪光, 郑波, 等. 肝硬化上消化道出血患者血清miR-130a表达情况及与病情严重程度和预后的相关性[J]. 临床误诊误治, 2021, 34(10): 88-93. doi: 10.3969/j.issn.1002-3429.2021.10.020
    [3] Kumar M, Venishetty S, Jindal A, et al. Tranexamic acid in upper gastrointestinal bleed in patients with cirrhosis: A randomized controlled trial[J]. Hepatology, 2024, 80(2): 376-388. doi: 10.1097/HEP.0000000000000817
    [4] Chen Y, Kong B B, Yin H, et al. Acute upper gastrointestinal bleeding due to portal hypertension in a patient with primary myelofibrosis: A case report[J]. World J Clin Cases, 2024, 12(15): 2621-2626. doi: 10.12998/wjcc.v12.i15.2621
    [5] Cai L, Xu L, Shen K, et al. Sophorae tonkinensis Radix polysaccharide attenuates acetaminophen-induced liver injury by regulating the miR-140-5p-related antioxidant mechanism[J]. J Tradit Complement Med, 2024, 14(4): 467-476. doi: 10.1016/j.jtcme.2024.01.006
    [6] Nie Y, Zhu X, Bu N, et al. Circ_0064288 acts as an oncogene of hepatocellular carcinoma cells by inhibiting miR-335-5p expression and promoting ROCK1 expression[J]. BMC Cancer, 2022, 22(1): 265. doi: 10.1186/s12885-022-09323-8
    [7] 中华医学会肝病学分会. 肝硬化诊治指南[J]. 中华肝脏病杂志, 2019, 27(11): 846-865. doi: 10.3760/cma.j.cn501113-20250728-00298
    [8] 北京医师协会门静脉高压专科医师分会, 中国研究型医院学会肝病专业委员会门静脉高压学组, 中国研究型医院学会肝病专业委员会. 肝硬化门静脉高压症多学科诊治(基于肝静脉压力梯度)专家共识[J]. 临床肝胆病杂志, 2021, 37(9): 2037-2044. doi: 10.3969/j.issn.1001-5256.2021.09.008
    [9] 杨连粤, 白雪莉. 肝硬化门静脉高压症食管、胃底静脉曲张破裂出血诊治专家共识(2019版)[J]. 中国实用外科杂志, 2019, 39(12): 1241-1247.
    [10] Peng J, Jin H, Zhang N, et al. Development and evaluation of a predictive model of upper gastrointestinal bleeding in liver cirrhosis[J]. BMC Gastroenterol, 2025, 25(1): 142. doi: 10.1186/s12876-025-03677-6
    [11] Oppong B, Amponsah G M, Gyabaah S, et al. Upper gastrointestinal endoscopic findings and their clinical correlates in patients with liver cirrhosis in northern Ghana[J]. Cureus, 2024, 16(8): e67725. doi: 10.7759/cureus.67725
    [12] Wong R, Buckholz A, Hajifathalian K, et al. Liver severity score-based modeling to predict six-week mortality risk among hospitalized cirrhosis patients with upper gastrointestinal bleeding[J]. J Clin Exp Hepatol, 2024, 14(1): 101255. doi: 10.1016/j.jceh.2023.07.402
    [13] 张春洋, 陈付群, 陈兆云. 老年肝硬化患者发生门脉高压性上消化道出血的危险因素分析及无创预测模型的建立[J]. 新疆医科大学学报, 2023, 46(12): 1623-1627, 1635.
    [14] Mousa N, Elbaz S, Elmetwalli A, et al. A risk stratification score for predicting first episode of upper gastrointestinal bleeding in patients with cirrhosis[J]. Arch Med Res, 2025, 56(7): 103253. doi: 10.1016/j.arcmed.2025.103253
    [15] Prosty C, Noutsios D, Dubé L R, et al. Prophylactic antibiotics for upper gastrointestinal bleeding in patients with cirrhosis: A systematic review and Bayesian meta-analysis[J]. JAMA Intern Med, 2025, 185(10): e253832. doi: 10.1001/jamainternmed.2025.3832
    [16] Metwally K, Essam T, Atwa A, et al. Helicobacter pylori versus platelet-to-spleen ratio as a risk factor for variceal bleeding in patients with liver-cirrhosis-related portal hypertension[J]. Am J Med Sci, 2022, 364(1): 23-28. doi: 10.1016/j.amjms.2021.10.018
    [17] Yi M, Li Y, Wang D, et al. Correction to: KCNQ1OT1 exacerbates ischemia-reperfusion injury through targeted inhibition of miR-140-3P[J]. Inflammation, 2022, 45(2): 933-934. doi: 10.1007/s10753-022-01635-y
    [18] 何国富, 罗莉莉, 薛伟花. 乙型肝炎患者血清miR-129-5p、miR-335-5p水平变化及临床意义[J]. 转化医学杂志, 2024, 13(3): 417-420. doi: 10.3639/j.issn.2095-3097.2024.03.024
    [19] Liu M, Liu X, Pan M, et al. Characterization and microRNA expression analysis of serum-derived extracellular vesicles in severe liver injury from chronic HBV infection[J]. Life, 2023, 13(2): 347. doi: 10.3390/life13020347
    [20] Pan W, Wang Y, Zhao C. miR-140-5p attenuates hepatic fibrosis by directly targeting TGFβR1[J]. Scand J Gastroenterol, 2023, 58(11): 1335-1343. doi: 10.1080/00365521.2023.2223735
    [21] López-Sánchez G N, Montalvo-Javé E, Domínguez-Perez M, et al. Hepatic mir-122-3p, mir-140-5p and mir-148b-5p expressions are correlated with cytokeratin-18 serum levels in MAFLD[J]. Ann Hepatol, 2022, 27(6): 100756. doi: 10.1016/j.aohep.2022.100756
    [22] Yu Y Q, Li S Q, Weng J, et al. LncRNA H19 activates the RAS-MAPK signaling pathway via miR-140-5p/SOS1 axis in malignant liver tumors[J]. Curr Med Sci, 2024, 44(6): 1232-1240. doi: 10.1007/s11596-024-2949-0
    [23] 张萍, 叶晓敏, 王云, 等. 肝硬化上消化道出血患者血清miR-210、miR-140水平与病情严重程度及预后的关系[J]. 临床检验杂志, 2023, 41(11): 844-849.
    [24] Liu Y, Kong X, Yu X, et al. Hepatitis B virus core/capsid protein induces hepatocellular carcinoma progression via long non-coding RNA KCNQ1OT1/miR-335-5p/CDC7 axis[J]. Transl Cancer Res, 2025, 14(6): 3319-3335. doi: 10.21037/tcr-2025-233
    [25] 王玲, 曹信宇, 商伟芳, 等. 慢性乙型肝炎患者外泌体miR-335-5p与肝硬化严重程度的相关性[J]. 中国热带医学, 2024, 24(3): 326-332.
  • [1] 刘俊莹, 李文辉, 赵欣, 石伟娜, 王晓娟.  腹型过敏性紫癜发生消化道出血患儿HP抗体分型、免疫反应及肠道菌群的相关性分析, 昆明医科大学学报. 2026, 47(4): 124-130. doi: 10.12259/j.issn.2095-610X.S20260415
    [2] 黄凯, 丁海兵.  基于血清miR-504-3p、miR-151a-5p及VEGF的多指标模型预测晚期非小细胞肺癌患者长期生存与转移风险, 昆明医科大学学报. 2026, 47(): 1-12.
    [3] 郭东亮, 李德辉, 王娜.  大面积脑梗死去骨瓣减压术后不同病情转归患者t-PA、TN-C、Cav-1表达, 昆明医科大学学报. 2026, 47(3): 123-132. doi: 10.12259/j.issn.2095-610X.S20260314
    [4] 陈艳娟, 罗婉榕, 马瑞雪, 代怡琳, 李桂仙, 田云粉.  昆明市某三甲医院424例儿童上消化道疾病谱临床分析, 昆明医科大学学报. 2024, 45(12): 75-80. doi: 10.12259/j.issn.2095-610X.S20241210
    [5] 董莉, 宁荣萍, 肖琼怡.  多模态超声影像联合临床指标预测缺血性脑卒中进展价值, 昆明医科大学学报. 2024, 45(3): 166-173. doi: 10.12259/j.issn.2095-610X.S20240325
    [6] 向培正, 李孟丽, 傅燕.  多种评分系统在肝硬化合并食管胃底静脉曲张出血预后评估中的价值, 昆明医科大学学报. 2022, 43(3): 128-134. doi: 10.12259/j.issn.2095-610X.S20220316
    [7] 周敏, 马智慧, 李加艳, 范建华, 林灵, 余亭颖, 张慧芳, 刘立.  肝硬化并胸水再发危险因素的预测, 昆明医科大学学报. 2022, 43(5): 149-154. doi: 10.12259/j.issn.2095-610X.S20220524
    [8] 王晴晴, 丁洁, 杨红洁, 常国楫, 刘思奇, 华丽娟, 王艺颖, 李生浩.  红细胞分布宽度及血脂在肝硬化食管胃底静脉曲张破裂出血中的临床价值, 昆明医科大学学报. 2022, 43(5): 144-148. doi: 10.12259/j.issn.2095-610X.S20220509
    [9] 蒋明远, 黄华, 路明亮, 丁文静, 王家平, 郑苏云, 时鑫.  EVL和早期TIP S治疗肝硬化急性食管静脉曲张出血的疗效, 昆明医科大学学报. 2020, 41(02): 32-36.
    [10] 林凡榆, 黄华, 王家平, 路明亮, 蒋明远.  上消化道出血临床评分系统的应用及研究进展, 昆明医科大学学报. 2019, 40(08): 120-125.
    [11] 张敏, 刘萍, 陈淼航, 唐玲玲, 陈绍庆.  静脉输注利多卡因在海洛因依赖者上消化道异物取出术中的应用, 昆明医科大学学报. 2018, 39(09): 42-46.
    [12] 李未华, 赵公芳, 黄华, 路明亮.  非静脉曲张上消化道出血的临床输血策略与临床特征, 昆明医科大学学报. 2018, 39(11): 98-102.
    [13] 焦鹤仙.  经胃镜金属钛夹治疗上消化道血管畸形出血的护理, 昆明医科大学学报. 2017, 38(02): 141-144.
    [14] 赵黎东.  不同剂量埃索美拉唑治疗急性非静脉性上消化道出血的临床疗效, 昆明医科大学学报. 2016, 37(04): -.
    [15] 常露.  动脉粥样硬化模型大鼠血液生化指标变化, 昆明医科大学学报. 2015, 36(09): -1.
    [16] 邹玉.  早期肠内营养在预防肝硬化食管静脉再出血中的价值探讨, 昆明医科大学学报. 2013, 34(03): -.
    [17] 王芸.  门脉高压性胃病在区域性门脉高压和肝硬化患者中的对比临床分析, 昆明医科大学学报. 2012, 33(05): -.
    [18] Tips治疗肝硬化门静脉高压症126例随访研究, 昆明医科大学学报. 2011, 32(06): -.
    [19] 上消化道出血伴发缺血性心肌损伤113例临床分析, 昆明医科大学学报. 2011, 32(03): -.
    [20] 上消化道出血患者PICC置管后并发血栓性静脉炎的护理1例报道, 昆明医科大学学报. 2011, 32(09): -.
  • 加载中
图(10) / 表(4)
计量
  • 文章访问数:  119
  • HTML全文浏览量:  61
  • PDF下载量:  58
  • 被引次数: 0
出版历程
  • 收稿日期:  2025-12-12
  • 网络出版日期:  2026-04-10

目录

    /

    返回文章
    返回