留言板

尊敬的读者、作者、审稿人, 关于本刊的投稿、审稿、编辑和出版的任何问题, 您可以本页添加留言。我们将尽快给您答复。谢谢您的支持!

姓名
邮箱
手机号码
标题
留言内容
验证码

基于凝血功能指标构建初诊多发性骨髓瘤患者ISS高危分期预测模型

李锐成 景花荣 武寅 林子琪 赵佩佩 魏姗 王田

李锐成, 景花荣, 武寅, 林子琪, 赵佩佩, 魏姗, 王田. 基于凝血功能指标构建初诊多发性骨髓瘤患者ISS高危分期预测模型[J]. 昆明医科大学学报, 2025, 46(12): 69-74. doi: 10.12259/j.issn.2095-610X.S20251208
引用本文: 李锐成, 景花荣, 武寅, 林子琪, 赵佩佩, 魏姗, 王田. 基于凝血功能指标构建初诊多发性骨髓瘤患者ISS高危分期预测模型[J]. 昆明医科大学学报, 2025, 46(12): 69-74. doi: 10.12259/j.issn.2095-610X.S20251208
Ruicheng LI, Huarong JING, Yin WU, Ziqi LIN, Peipei ZHAO, Shan WEI, Tian WANG. Construction of A Predictive Model for High-risk ISS Stage in Newly Diagnosed Multiple Myeloma Patients Based on Coagulation Indicators[J]. Journal of Kunming Medical University, 2025, 46(12): 69-74. doi: 10.12259/j.issn.2095-610X.S20251208
Citation: Ruicheng LI, Huarong JING, Yin WU, Ziqi LIN, Peipei ZHAO, Shan WEI, Tian WANG. Construction of A Predictive Model for High-risk ISS Stage in Newly Diagnosed Multiple Myeloma Patients Based on Coagulation Indicators[J]. Journal of Kunming Medical University, 2025, 46(12): 69-74. doi: 10.12259/j.issn.2095-610X.S20251208

基于凝血功能指标构建初诊多发性骨髓瘤患者ISS高危分期预测模型

doi: 10.12259/j.issn.2095-610X.S20251208
基金项目: 国家自然科学基金(81772485)
详细信息
    作者简介:

    李锐成(1985~),男,河南商丘人,医学硕士,副主任技师,主要从事肿瘤临床检验诊断研究工作

    通讯作者:

    王田,E-mail:82121399@qq.com

  • 中图分类号: R446.11

Construction of A Predictive Model for High-risk ISS Stage in Newly Diagnosed Multiple Myeloma Patients Based on Coagulation Indicators

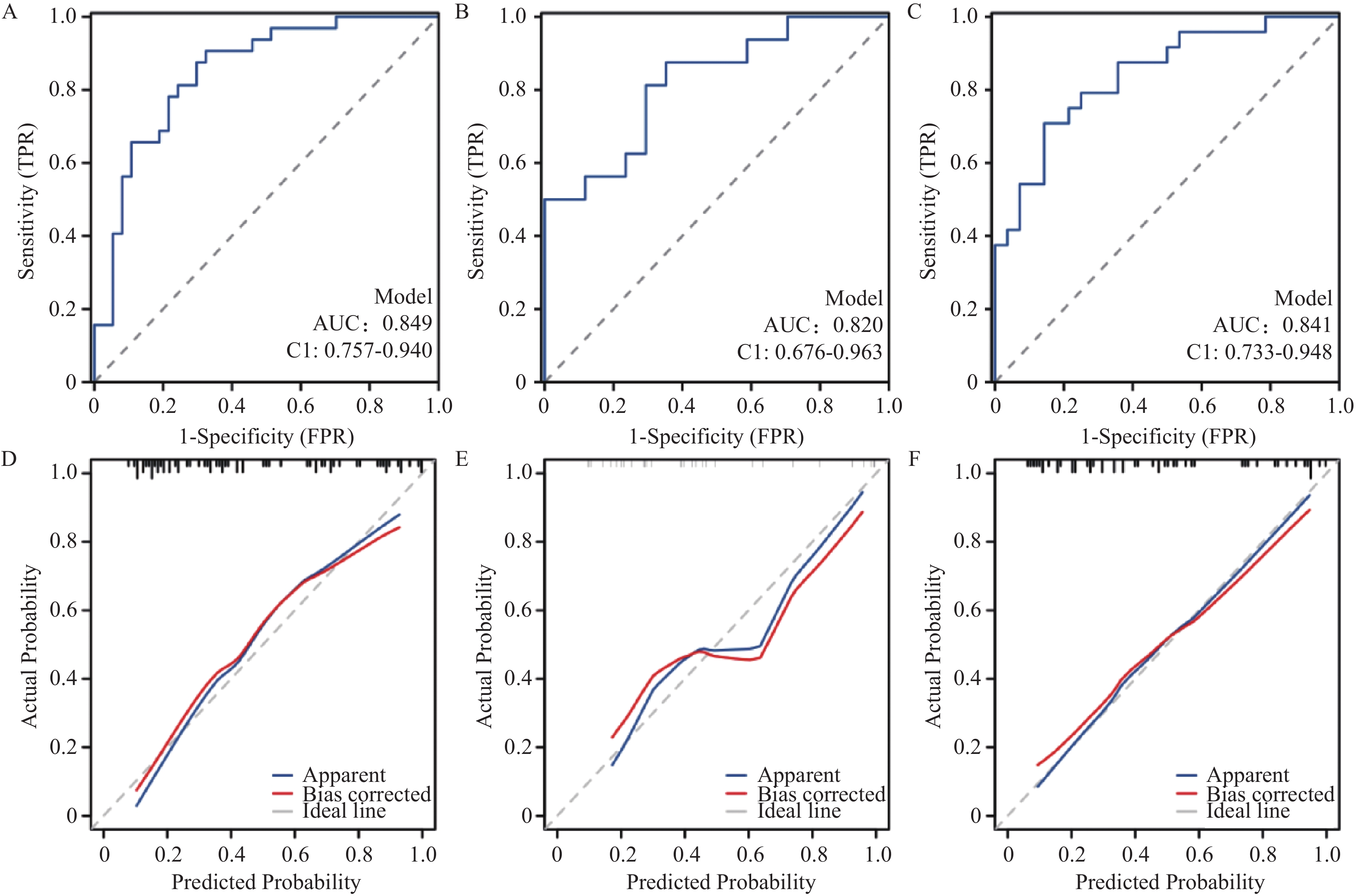
  • 摘要:   目的  探讨初诊多发性骨髓瘤(multiple myeloma,MM)患者凝血功能指标与国际分期系统(international staging system,ISS)分期的关系,建立以凝血指标为基础的ISS高危分期预测模型。  方法  收集2021年5月至2024年12月114例初诊MM患者作为模型开发队列,按7∶3比例随机分为训练集(80例)和内部验证集(34例);收集2025年1月至2025年6月52例患者作为外部验证队列。按照ISS分期将患者分成I/II期组和III期组,比较2组间凝血功能指标水平差异。利用Spearman相关分析评价各凝血指标与β2-微球蛋白(β2-microglobulin,β2-MG)、白蛋白(albumin,ALB)的相关性,通过二元Logistic回归法筛选出ISS高危分期的独立危险因素,构建列线图预测模型并评估其预测效能。  结果  ISS III期患者的凝血酶原时间(prothrombin time,PT)、活化部分凝血活酶时间(activated partial thromboplastin time,APTT)、纤维蛋白原含量(fibrinogen,FIB)、凝血酶时间(thrombin time,TT)和血栓调节蛋白(thrombomodulin,TM)水平均显著高于ISS I/II期患者(P < 0.05)。相关性分析显示,5项凝血功能指标均与β2-MG呈正相关,PT、APTT、TT与ALB呈负相关。多因素Logistic回归分析显示,PT、TT、TM是ISS高危分期的独立危险因素。基于PT、TT和TM构建的列线图预测模型显示AUC为0.849,敏感度90.6%,特异度67.6%。  结论  PT、TT和TM与ISS分期密切相关,可作为高危分期的独立危险因素。
  • 图  1  初诊MM患者ISS高危分期的列线图

    Figure  1.  Nomogram of ISS high-risk stages in newly diagnosed MM patients

    图  2  列线图预测模型的ROC曲线和校准曲线

    A:训练集ROC曲线;B:内部验证集ROC曲线;C:外部验证集ROC曲线;D:训练集校准曲线;E内部验证集校准曲线;F:外部验证集ROC曲线。

    Figure  2.  ROC curve and calibration curve of nomogram prediction model

    表  1  2组间基础资料比较[n(%)/M(P25P75)]

    Table  1.   Comparison of basic clinical data between two groups [n(%)/M(P25P75)]

    项目 ISS I/II组(n=58) ISS III组(n=56) χ2/t/Z P
    性别 1.989 0.158
     男 33 (28.9) 39 (34.2)
     女 25 (21.9) 17 (14.9)
    年龄 (岁) 62.7 ± 8.7 64.3 ± 8.7 0.932 0.354
    指标
     PT (s) 11.9 (11.2, 12.8) 13.0 (12.0, 14.1) 3.974 <0.001
     APTT (s) 28.9 (23.6, 35.0) 33.8 (28.4, 43.0) 2.916 0.004*
     FIB (g/L) 3.0 (2.5, 4.0) 2.6 (2.2, 3.6) 1.561 0.119
     TT (s) 18.8 (17.7, 19.9) 20.5 (18.8, 23.6) 3.655 <0.001
     FDP (mg/L) 4.2 (2.3, 6.6) 6.2 (3.0, 8.7) 1.857 0.064
     D-D (mg/L) 1.3 (0.8, 2.1) 2.2 (1.1, 4.0) 2.069 0.039*
     TM (TU/mL) 7.2 (5.3, 9.7) 10.5 (6.3, 16.8) 3.319 0.001*
     TAT (ng/mL) 5.8 (4.0, 9.6) 5.5 (3.5, 7.2) 1.477 0.141
     PIC (μg/mL) 0.7 (0.5, 1.5) 1.1 (0.6, 2.1) 1.530 0.127
     t-PAIC (ng/L) 5.1 (4.0, 7.1) 5.6 (3.7, 10.1) 1.342 0.180
     β2-MG(mg/L) 3.4 (2.7, 4.4) 13.4 (8.3, 19.5) 8.170 <0.001
     ALB (g/L) 36.5 (30.4, 44.4) 34.5 (26.9, 38.3) 2.071 0.038*
      *P < 0.05。
    下载: 导出CSV

    表  2  凝血功能指标与β2-MG、ALB的相关性

    Table  2.   Correlation of coagulation function indicators with β2-MG and ALB

    指标 β2-MG (mg/L) ALB (g/L)
    rS P rS P
    PT (s) 0.428 <0.001 −0.477 <0.001
    APTT (s) 0.306 0.002* −0.325 0.001*
    TT (s) 0.327 0.001* −0.327 0.001*
    D-D (mg/L) 0.379 <0.001 −0.151 0.125
    TM (TU/mL) 0.523 <0.001 0.031 0.756
      注:数据均呈偏态分布,采用Spearman相关性分析;*P < 0.05。
    下载: 导出CSV

    表  3  凝血功能指标对ISS分期的多因素Logistic回归分析

    Table  3.   Logistic regression analysis of coagulation function indicators on ISS stages

    指标 β SE Wald P OR 95%CI
    PT (s) 0.406 0.174 5.475 0.019* 1.501 1.068~2.109
    TT (s) 0.165 0.088 3.495 0.062 1.179 0.992~1.402
    TM
    (TU/mL)
    0.154 0.051 9.020 0.003* 1.167 1.055~1.290
    常量 −10.043 2.407 17.413 <0.001 0.000
      “−”表示无数据,TT的P值接近但未达到统计学显著性水平;*P < 0.05。
    下载: 导出CSV
  • [1] Rajkumar S V. Multiple myeloma: 2024 update on diagnosis, risk-stratification, and management[J]. American J Hematol, 2024, 99(9): 1802-1824. doi: 10.1002/ajh.27422
    [2] D’Agostino M, Cairns D A, Lahuerta J J, et al. Second revision of the international staging system (R2-ISS) for overall survival in multiple myeloma: A European myeloma network (EMN) report within the HARMONY project[J]. J Clin Oncol, 2022, 40(29): 3406-3418. doi: 10.1200/JCO.21.02614
    [3] Ghansah H, Debreceni I B, Váróczy L, et al. Patients with multiple myeloma and monoclonal gammopathy of undetermined significance have variably increased thrombin generation and different sensitivity to the anticoagulant effect of activated protein C[J]. Thromb Res, 2023, 223(3): 44-52.
    [4] Papageorgiou L, Alhaj Hussen K, Thouroude S, et al. Modelization of blood-borne hypercoagulability in myeloma: A tissue-factor-bearing microparticle-driven process[J]. TH Open, 2019, 3(4): e340-e347. doi: 10.1055/s-0039-1700885
    [5] Huang Y, Wang C, Wang H, et al. Rediscovering hemostasis abnormalities in multiple myeloma: The new era[J]. Heliyon, 2024, 10(13): 1-14.
    [6] Rajkumar S V, Dimopoulos M A, Palumbo A, et al. International Myeloma Working Group updated criteria for the diagnosis of multiple myeloma[J]. Lancet Oncol, 2014, 15(12): e538-e548. doi: 10.1016/S1470-2045(14)70442-5
    [7] 中国医师协会血液科医师分会, 中华医学会血液学分会. 中国多发性骨髓瘤诊治指南(2022年修订)[J]. 中华内科杂志, 2022, 61(5): 480-487.
    [8] Wang J H, Xiang P, Zhao E J, et al. Impact of type 2 and steroid-Induced diabetes mellitus on prognosis in patients with multiple myeloma[J]. World J Surg Oncol, 2025, 23(1): 1-10. doi: 10.1186/s12957-024-03642-9
    [9] Mohan Lal B, Rhee F V, Al Hadidi S. Current state of evidence on definitions and management of high-risk multiple myeloma[J]. Curr Oncol Rep, 2025, 27(3): 258-277. doi: 10.1007/s11912-025-01639-5
    [10] Hu M, Ma Y, Jia K, et al. Analysis of coagulation alteration and its correlation with β2-microglobulin in 371 patients with newly diagnosed multiple myeloma[J]. Hematology, 2024, 29(1): 1-8.
    [11] Martini F, Cecconi N, Paolicchi A, et al. Interference of monoclonal gammopathy with fibrinogen assay producing spurious dysfibrinogenemia[J]. TH Open, 2019, 3(1): e64-e66. doi: 10.1055/s-0039-1683969
    [12] Geng C, Yang G, Wang H, et al. The prognostic role of prothrombin time and activated partial thromboplastin time in patients with newly diagnosed multiple myeloma[J]. Biomed Res Int, 2021, 2021(5): 1-9.
    [13] Melaccio A, Reale A, Saltarella I, et al. Pathways of angiogenic and inflammatory cytokines in multiple myeloma: Role in plasma cell clonal expansion and drug resistance[J]. J Clin Med, 2022, 11(21): 1-20.
    [14] Zhang T, Lin Z, Zheng Z, et al. Prognostic significance of β2-microglobulin decline index in multiple myeloma[J]. Front Oncol, 2024, 14(3): 1-10.
    [15] Cai Y, Zhao Y, Dai Q, et al. Prognostic value of the albumin-globulin ratio and albumin-globulin score in patients with multiple myeloma[J]. J Int Med Res, 2021, 49(3): 1-12.
    [16] Carlisi M, Lo Presti R, Mancuso S, et al. Calculated whole blood viscosity and albumin/fibrinogen ratio in patients with a new diagnosis of multiple myeloma: Relationships with some prognostic predictors[J]. Biomedicines, 2023, 11(3): 1-11.
    [17] Shen H, Wu C, Chen L, et al. Acquired heparin-like anticoagulation process in a patient with multiple myeloma: A case report and literature review[J]. Transl Cancer Res, 2020, 9(11): 7366-7371. doi: 10.21037/tcr-20-1968
    [18] Pandey S, Post S R, Alapat D V, et al. Prolonged prothrombin time correlates with serum monoclonal protein concentration in patients with plasma cell dyscrasia[J]. Int J Lab Hematol, 2013, 35(4): 421-427. doi: 10.1111/ijlh.12036
    [19] Zaharia A L, Tutunaru D, Oprea V D, et al. Thrombomodulin serum levels-a predictable biomarker for the acute onset of ischemic stroke[J]. Curr Issues Mol Biol, 2024, 46(1): 677-688. doi: 10.3390/cimb46010044
    [20] Liu L, Qu J, Dai Y, et al. An interactive nomogram based on clinical and molecular signatures to predict prognosis in multiple myeloma patients[J]. Aging, 2021, 13(14): 18442-18463. doi: 10.18632/aging.203294
  • [1] 王远珍, 魏红艳, 田仁海, 陈永臻, 许丹青, 张映媛, 常丽仙, 刘春云, 刘立.  原发性肝癌干预前并发慢性肝衰竭的风险预测模型建立与评价, 昆明医科大学学报. doi: 10.12259/j.issn.2095-610X.S20250321
    [2] 迟妍, 李俊娴, 赵玲, 李雯漪, 柯亭羽.  孕前不同BMI孕妇孕早期凝血及纤溶与妊娠期糖尿病的相关性, 昆明医科大学学报. doi: 10.12259/j.issn.2095-610X.S20250410
    [3] 刘东艳, 刘燕, 任治铭, 王枫, 汪勇.  基于Logistic回归分析的恶性肿瘤患者化疗相关骨髓抑制的影响因素分析及预测模型建立, 昆明医科大学学报. doi: 10.12259/j.issn.2095-610X.S20250815
    [4] 马燕粉, 刘洒洒, 胡健, 蔡德佩, 乔永峰, 王晓琴.  脂代谢和肝功能指标对糖尿病前期的预测作用, 昆明医科大学学报. doi: 10.12259/j.issn.2095-610X.S20241222
    [5] 牛志鑫, 汤丽华, 史磊, 洪超, 姚宇峰, 严志凌.  MAPK1NRAS基因多态性与云南汉族人群宫颈上皮内瘤变的相关性, 昆明医科大学学报. doi: 10.12259/j.issn.2095-610X.S20240502
    [6] 姬燕梅, 李文俊, 李青芸, 郭妮, 蒙妮, 周丹, 李秋宇, 金醒昉.  急性缺血性脑卒中后认知障碍相关因素分析及列线图模型构建, 昆明医科大学学报. doi: 10.12259/j.issn.2095-610X.S20240511
    [7] 吴炳芬, 祝永月.  多发性骨髓瘤复发伴中枢浸润1例并文献复习, 昆明医科大学学报.
    [8] 陆小华, 袁洪新.  BTLA、CTLA-4基因多态性与肝癌TACE联合靶向治疗疗效及预后相关性, 昆明医科大学学报. doi: 10.12259/j.issn.2095-610X.S20230927
    [9] 李建梅, 晋艳玲.  硼替佐米、来那度胺结合地塞米松治疗多发性骨髓瘤的有效率及安全性, 昆明医科大学学报. doi: 10.12259/j.issn.2095-610X.S20230610
    [10] 张桂梅, 陈蜀, 宋云华, 吴阳, 周虹媛.  AECOPD患者再入院危险因素分析及预测模型的构建, 昆明医科大学学报. doi: 10.12259/j.issn.2095-610X.S20220830
    [11] 吴欣, 李云, 邹品飞, 李梅玲, 普勇斌.  肌骨超声检查在风湿性膝关节炎患者中检出率及与膝关节功能的相关性, 昆明医科大学学报. doi: 10.12259/j.issn.2095-610X.S20210814
    [12] 张琳, 李燕英, 孟琦, 李灿晖, 沈芸, 毕鸿雁, 杨秋萍, 熊悦.  老年2型糖尿病与血小板、凝血及纤溶功能的相关性, 昆明医科大学学报. doi: 10.12259/j.issn.2095-610X.S20211110
    [13] 曹红花, 吴娜, 贺鸣, 张睿, 周叶英, 赖洵, 申政磊.  皮下注射硼替佐米为主化疗方案治疗多发性骨髓瘤, 昆明医科大学学报.
    [14] 王雪娇, 张哲, 余景星, 李园园, 赵美淑, 尹列芬.  IgD-λ+λ双克隆多发性骨髓瘤2例报道, 昆明医科大学学报.
    [15] 何红芬.  妇科肿瘤术后患者凝血功能变化的临床观察, 昆明医科大学学报.
    [16] 杨晓玲.  复发性流产患者凝血功能与流产次数的相关性, 昆明医科大学学报.
    [17] 吉鸿.  血栓弹力图指导下调节肝硬化脾切除围手术期凝血功能的临床观察, 昆明医科大学学报.
    [18] 李未华.  TIPS对肝硬化患者血流动力学及凝血功能的影响, 昆明医科大学学报.
    [19] 万云艳.  PAD和VAD方案治疗MM患者临床有效性及安全性比较, 昆明医科大学学报.
    [20] 贺振新.  多发性骨髓瘤中细胞因子信号转导抑制因子1(SOCS1)基因异常甲基化的研, 昆明医科大学学报.
  • 加载中
图(2) / 表(3)
计量
  • 文章访问数:  392
  • HTML全文浏览量:  225
  • PDF下载量:  26
  • 被引次数: 0
出版历程
  • 收稿日期:  2025-09-08
  • 网络出版日期:  2025-12-06
  • 刊出日期:  2025-12-25

目录

    /

    返回文章
    返回