留言板

尊敬的读者、作者、审稿人, 关于本刊的投稿、审稿、编辑和出版的任何问题, 您可以本页添加留言。我们将尽快给您答复。谢谢您的支持!

姓名
邮箱
手机号码
标题
留言内容
验证码

骨肉瘤患者复发的影响因素分析及Nomogram预测模型构建

马国玉 杨鑫 邵为林 全楚琪 杨晓慧 杨祚璋 姚志红

马国玉, 杨鑫, 邵为林, 全楚琪, 杨晓慧, 杨祚璋, 姚志红. 骨肉瘤患者复发的影响因素分析及Nomogram预测模型构建[J]. 昆明医科大学学报.
引用本文: 马国玉, 杨鑫, 邵为林, 全楚琪, 杨晓慧, 杨祚璋, 姚志红. 骨肉瘤患者复发的影响因素分析及Nomogram预测模型构建[J]. 昆明医科大学学报.
Guoyu MA, Xin YANG, Weilin SHAO, Chuqi QUAN, Xiaohui YANG, Zuozhang YANG, Zhihong YAO. Analysis of Factors Influencing Recurrence in Osteosarcoma Patients and Construction of Nomogram Prediction Model[J]. Journal of Kunming Medical University.
Citation: Guoyu MA, Xin YANG, Weilin SHAO, Chuqi QUAN, Xiaohui YANG, Zuozhang YANG, Zhihong YAO. Analysis of Factors Influencing Recurrence in Osteosarcoma Patients and Construction of Nomogram Prediction Model[J]. Journal of Kunming Medical University.

骨肉瘤患者复发的影响因素分析及Nomogram预测模型构建

基金项目: 云南省科技厅科技计划项目(202501AT070038);云南省卫生健康委员会医学学科带头人培养计划(D-2024017);云南省教育厅科学研究基金(2025J0233);昆明医科大学科技创新团队建设项目(CXTD202212);昆明医科大学2025年硕士研究生教育创新基金(2025S106)
详细信息
    作者简介:

    马国玉(1992~),女,云南楚雄人,医学硕士,助理研究员,主要从事医学统计学、肿瘤流行病学研究工作

    杨鑫与马国玉对本文有同等贡献

    通讯作者:

    姚志红,E-mail: yaozhihong@kmmu.edu.cn

  • 中图分类号: R738.1

Analysis of Factors Influencing Recurrence in Osteosarcoma Patients and Construction of Nomogram Prediction Model

  • 摘要:   目的  分析影响骨肉瘤患者复发的关键临床影响因素,构建并验证一个基于Nomogram的复发风险预测模型。  方法  回顾性收集2013-2022年在云南省肿瘤医院收治的469例患者临床资料,运用R软件(V4.3.2)进行统计学分析。通过单因素分析和LASSO回归分析初步筛选潜在影响因素,通过多因素Logistic回归分析影响骨肉瘤复发的独立预测因子。基于筛选出的独立影响因素,构建复发风险的列线图(Nomogram)预测模型。采用受试者工作特征曲线(ROC)下面积(AUC)评估模型的区分度。  结果  全队列中,68例患者出现复发,复发率为14.50%。原发病灶位置(胫骨OR = 0.297和其他骨OR = 3.294)、活检方式穿刺(OR = 0.461)、发生肺部转移(OR = 11.873)、高淋巴细胞数目(OR = 0.450)为复发的独立预测因素。胫骨的复发风险低于股骨(P = 0.009),其他骨的复发风险高于股骨(P = 0.008);开放活检患者的复发风险高于穿刺活检患者(P = 0.033);发生肺转移患者的复发风险高于非肺转移患者(P < 0.001);淋巴细胞数越高复发风险越低(P = 0.001)。模型验证的ROC曲线下面积为0.842(95%CI:0.806~0.875),表明模型具有较好的判别能力。  结论  本研究成功构建并验证了一个整合关键临床因素的骨肉瘤复发风险Nomogram预测模型,该模型展现出较好的区分度,能精准、量化地评估个体患者的复发风险。
  • 图  1  LASSO回归的系数路径图

    Figure  1.  Coefficient path plot of the Lasso regression

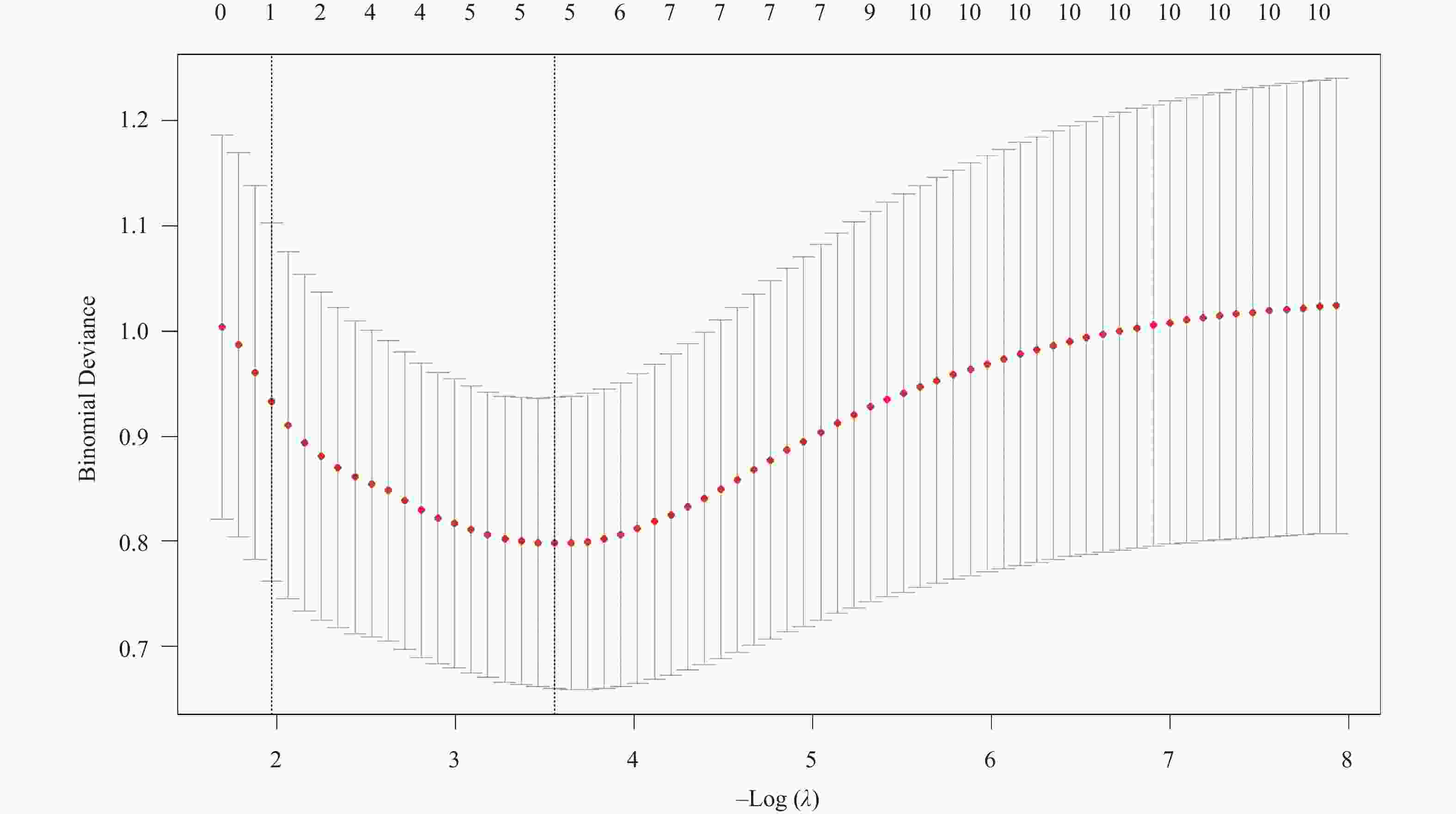
    图  2  LASSO的交叉验证误差图

    Figure  2.  Screening results of indicators affecting recurrence under lasso regression

    图  3  预测骨肉瘤复发的Nomogram列线图

    Figure  3.  Nomogram for predicting the recurrence of osteosarcoma

    图  4  骨肉瘤复发Nomogram预测模型概率与是否复发的ROC曲线

    Figure  4.  The ROC curve of the Nomogram prediction model probability versus Actual recurrence status for Osteosarcoma Recurrence

    表  1  骨肉瘤复发的单因素分析[n(%)/M(P25P75)]

    Table  1.   Univariate analysis of factors associated with osteosarcoma recurrence[n(%)/M(P25P75)]

    指标 分类 未复发 复发 χ2/Z P
    性别 256(86.5) 40(13.5) 0.629 0.428
    145(83.8) 28(16.2)
    民族 汉族 332(85.6) 56(14.4) 0.008 0.929
    少数民族 69(85.2) 12(14.8)
    吸烟史 384(85.3) 66(14.7) 0.252 0.616
    17(89.5) 2(10.5)
    原发病灶位置 股骨 191(84.5) 35(15.5)c 19.973 0.001*
    胫骨 117(93.6) 8(6.4)d
    肱骨 38(90.5) 4(9.5)d
    腓骨 20(80.0) 5(20.0)b
    骨盆 7(70.0) 3(30.0)a
    其他骨 28(68.3) 13(31.7)a
    肿瘤分期 IIA期 55(94.8) 3(5.2)c 13.790 0.001*
    IIB期 288(86.7) 44(13.3)b
    Ⅲ期 58(73.4) 21(26.6)a
    Enneking手术分期 IIA期 52(94.5) 3(5.5)c 43.082 < 0.001*
    IIB期 303(89.4) 36(10.6)b
    Ⅲ期 46(61.3) 29(38.7)a
    肿瘤最大直径 < 10cm 220(83.7) 43(16.3) 1.655 0.198
    ≥10cm 181(87.9) 25(12.1)
    病理性骨折 361(84.7) 65(15.3) 2.161 0.142
    40(93.0) 3(7.0)
    活检方式 开放 261(83.1) 53(16.9) 4.341 0.037*
    穿刺 140(90.3) 15(9.7)
    手术方式 保肢手术 231(83.4) 46(16.6) 2.424 0.119
    截肢手术 170(88.5) 22(11.5)
    乙肝核心抗体 阴性 372(85.9) 61(14.1) 0.769 0.380
    阳性 29(80.6) 7(19.4)
    乙型肝炎表面抗体 阴性 247(85.2) 43(14.8) 0.066 0.797
    阳性 154(86.0) 25(14.0)
    是否肺部转移 293(94.8) 16(5.2) 63.478 < 0.001*
    108(67.5) 52(32.5)
    年龄(岁) 17(13.5,24) 19(14.25,32.5) −1.642 0.101
    BMI(kg/m2 19.37(17.31,21.96) 19.99(17,23.39) −0.862 0.389
    随访时间(月) 31(10,56) 19.5(12,43.25) −1.349 0.177
    嗜碱性粒细胞(×10⁹/L) 0.02(0.01,0.03) 0.02(0.01,0.03) −0.112 0.911
    嗜酸性粒细胞(×10⁹/L) 0.1(0.06,0.18) 0.09(0.04,0.14) −1.554 0.120
    淋巴细胞数目(×10⁹/L) 2(1.57,2.5) 1.79(1.33,2.31) −2.755 0.006*
    红细胞平均血红蛋白浓度(g/L) 332(325,340) 334(327.25,340) −1.140 0.254
    平均红细胞体积(fL) 86.9(83.68,90.2) 85.4(83.03,89.25) −0.879 0.379
    单核细胞计数(×10⁹/L) 0.4(0.32,0.52) 0.44(0.3,0.63) −0.397 0.691
    中性粒细胞计数(×10⁹/L) 4.4(3.34,5.79) 4.18(3.05,5.83) −0.747 0.455
    降钙素(mmol/L) 0.3(0.26,0.36) 0.29(0.24,0.36) −1.735 0.083
    细胞体积大小变异系数(%) 13(12.6,13.6) 12.7(12.35,13.48) −2.008 0.045*
    红细胞分布宽度标准差(fL) 41.2(39.08,43.63) 40.55(38.63,42.38) −1.792 0.073
    腺苷脱氨酶(U/L) 10(8,12) 9(7,11) −1.749 0.080
    碱性磷酸酶(U/L) 184.5(110.25,315.5) 175.5(99,357.75) −0.379 0.705
    尿素氮(mmol/L) 4.54(3.74,5.53) 4.32(3.76,5.19) −0.899 0.369
    肿瘤标记物(ng/mL) 2.4(2.33,2.48) 2.38(2.28,2.45) −1.543 0.123
    胆碱酯酶(U/L) 8229.571409352.25 805271499956.25 −0.810 0.418
    二氧化碳(mmol/L) 23(22,25) 23(21,25) −0.013 0.989
    肌酐(μmol/L) 65.5(52,76) 65.5(52.25,79) −0.176 0.860
    C-反应蛋白(mg/L) 4.87(1.66,16.72) 4.35(1.15,18.25) −0.541 0.589
    血清铁(μmol/L) 12.15(8.1,17.6) 12.95(9.03,19.23) −0.981 0.327
    谷氨酰胺转肽酶((U/L)) 18(12,29) 19.5(13,31) −1.384 0.166
    球蛋白(g/L) 28(25.95,31) 27.4(25,30.75) −1.410 0.158
    钾离子(mmol/L) 4.37(4.14,4.59) 4.34(4.11,4.53) −1.037 0.300
    乳酸脱氢酶(U/L) 192(161,258.25) 200(164.5,235.75) −0.146 0.884
    总蛋白(g/L) 74(70,78) 73.5(69,77) −1.016 0.310
    肿瘤特异性生长因子(U/mL) 54(45,61) 58.5(47,63) −1.660 0.097
    APF(μg/L) 1.74(1.19,2.66) 1.92(1.36,2.55) −1.254 0.210
    CA125(U/mL) 11.81(8.72,16.41) 13.52(9.68,17.8) −1.500 0.134
    CA153(U/mL) 9.99(7.44,14.39) 9.89(7.67,17.33) −0.673 0.501
    CA199(U/mL) 7.37(4.35,12.96) 8.55(5.1,13.01) −0.777 0.437
    CA242(U/mL) 5(2.38,10.09) 6.14(3.34,9.62) −0.958 0.338
    CA724(U/mL) 1.55(0.99,3.28) 1.49(0.89,2.5) −1.283 0.200
    CA211(U/mL) 2.1(1.6,2.7) 2.3(1.6,3.3) −1.301 0.193
    癌胚抗原(ng/mL) 1.27(0.84,1.94) 1.13(0.79,1.94) −0.329 0.742
    铁蛋白铁(ug/L) 180.05(87.73,301.45) 187.1(104.3,323.9) −0.224 0.823
    神经元特异性烯醇化酶(ng/mL) 17.03(13.14,23.75) 18.04(13.23,23.39) −0.366 0.715
    鳞状细胞癌抗原(ng/mL) 0.85(0.67,1.1) 0.9(0.73,1.2) −0.725 0.468
      注:*P < 0.05;a、b、c和d代表复发率存在统计学差异,标记a > 标记b > 标记c > 标记d.
    下载: 导出CSV

    表  2  LASSO回归分析结果表

    Table  2.   Results of Lasso regression analysis

    变量名称 λ值
    截断系数 5.27802
    原发病灶位置 0.27514
    肿瘤分期
    Enneking手术分期
    活检方式 0.95991
    是否肺部转移 1.34897
    淋巴细胞数目(×109/L) 0.61676
    降钙素(mmol/L)
    细胞体积大小变异系数(%) 0.12053
    红细胞分布宽度标准差(fL)
    腺苷脱氨酶(U/L)
    肿瘤特异性生长因子(U/mL)
      注:“−”表示零系数,即该变量未进入模型。
    下载: 导出CSV

    表  3  指标的赋值说明表

    Table  3.   The assignment description of indicators

    指标名称 赋值情况说明
    原发病灶位置 1 = 股骨;2 = 胫骨;3 = 肱骨;
    4 = 腓骨;5 = 骨盆;6 = 其他骨
    活检方式 1 = 开放;2 = 穿刺
    是否肺部转移 0 = 否;1 = 是
    淋巴细胞数目(×109/L) 连续变量
    细胞体积大小变异系数(%) 连续变量
    下载: 导出CSV

    表  4  骨肉瘤复发二分类多因素Logistic回归分析

    Table  4.   Multivariate Binary Logistic regression analysis for osteosarcoma recurrence

    变量 β 标准误S.E Wald P OR 95%CI
    原发病灶位置(参照:股骨) 21.336 0.001* 1.000
     胫骨 −1.214 0.468 6.734 0.009* 0.297 0.119~0.743
     肱骨 −1.016 0.609 2.785 0.095 0.362 0.110~1.194
     腓骨 0.595 0.622 0.915 0.339 1.813 0.536~6.132
     骨盆 0.699 0.887 0.620 0.431 2.011 0.353~11.448
     其他骨 1.192 0.452 6.972 0.008* 3.294 1.360~7.982
    活检方式(参照:开放) −0.775 0.363 4.562 0.033* 0.461 0.226~0.938
    是否肺部转移(参照:否) 2.474 0.347 50.965 < 0.001* 11.873 6.019~23.420
    淋巴细胞数目 −0.797 0.249 10.297 0.001* 0.450 0.277~0.733
    常量 −1.240 0.511 5.891 0.015 0.289
      *P < 0.05。
    下载: 导出CSV

    表  5  骨肉瘤复发Nomogram预测模型概率与是否复发的RO曲线分析

    Table  5.   The ROC curve of the Nomogram prediction model probability versus actual recurrence status for osteosarcoma recurrence

    指标 ACU 95%CI SE P Youden指数 截断值 灵敏度(%) 特异度(%)
    模型概率 0.842 0.806~0.875 0.0264 < 0.0001 0.5772 > 0.116 84.37 73.35
    下载: 导出CSV
  • [1] Yoshida A. Osteosarcoma: Old and new challenges[J]. Surg Pathol Clin, 2021, 14(4): 567-583. doi: 10.1016/j.path.2021.06.003
    [2] Danese M D, Groundland J S. Effect of chemotherapy and surgery timing on mortality in upper and lower extremity osteosarcoma[J]. J Natl Cancer Inst, 2025, 117(4): 611-618. doi: 10.1093/jnci/djae229
    [3] Beird H C, Bielack S S, Flanagan A M, et al. Osteosarcoma[J]. Nat Rev Dis Primers, 2022, 8: 77. doi: 10.1038/s41572-022-00409-y
    [4] Lacinski R A, Dziadowicz S A, Melemai V K, et al. Spatial multiplexed immunofluorescence analysis reveals coordinated cellular networks associated with overall survival in metastatic osteosarcoma[J]. Bone Res, 2024, 12(1): 55. doi: 10.1038/s41413-024-00359-z
    [5] Xie D, Hu C, Zhu Y, et al. Sequential therapy for osteosarcoma and bone regeneration via chemodynamic effect and cuproptosis using a 3D-printed scaffold with TME-responsive hydrogel[J]. Small, 2025, 21(5): e2406639. doi: 10.1002/smll.202406639
    [6] Ding W Z, Liu K, Li Z, et al. A meta-analysis of prognostic factors of osteosarcoma[J]. Eur Rev Med Pharmacol Sci, 2020, 24(8): 4103-4112.
    [7] Balachandran V P, Gonen M, Smith J J, et al. Nomograms in oncology: More than meets the eye[J]. Lancet Oncol, 2015, 16(4): e173-e180. doi: 10.1016/S1470-2045(14)71116-7
    [8] 郭卫. 日本骨科协会(JOA)原发恶性骨肿瘤管理临床实践指南重点内容解读[J]. 中国修复重建外科杂志, 2025, 39(7): 814-823.
    [9] 马国玉, 黄瑾, 杨鑫, 等. 骨肉瘤患者肺转移影响因素分析及预测模型的构建与验证[J]. 肿瘤学杂志., 2025, 31(3): 231-237.
    [10] 李嘉伊, 任庆兰. 晚期骨肉瘤分子靶向治疗研究进展[J]. 现代医药卫生., 2019, 35(19): 2996-2999.
    [11] Yao Z, Tan Z, Yang J, et al. Prognostic nomogram for predicting 5-year overall survival in Chinese patients with high-grade osteosarcoma[J]. Sci Rep, 2021, 11(1): 17728. doi: 10.1038/s41598-021-97090-0
    [12] 唐顺, 郭卫, 杨荣利, 等. 40岁以上成年骨肉瘤患者的外科治疗及预后因素[J]. 北京大学学报(医学版)., 2015, 47(1): 165-169.
    [13] 吕卫星, 周胜利, 严米云, 等. 甲氨蝶呤联合雷公藤多苷片治疗骨肉瘤的临床效果及对炎症因子、复发率的影响[J]. 世界复合医学, 2024, 10(10): 78-81.
    [14] Andreou D, Bielack S S, Carrle D, et al. The influence of tumor- and treatment-related factors on the development of local recurrence in osteosarcoma after adequate surgery. An analysis of 1355 patients treated on neoadjuvant Cooperative Osteosarcoma Study Group protocols[J]. Ann Oncol, 2011, 22(5): 1228-1235. doi: 10.1093/annonc/mdq589
    [15] Koirala P, Roth M E, Gill J, et al. Immune infiltration and PD-L1 expression in the tumor microenvironment are prognostic in osteosarcoma[J]. Sci Rep, 2016, 6: 30093. doi: 10.1038/srep30093
    [16] Strauss S J, Frezza A M, Abecassis N, et al. Bone sarcomas: ESMO-EURACAN-GENTURIS-ERN PaedCan Clinical Practice Guideline for diagnosis, treatment and follow-up[J]. Ann Oncol, 2021, 32(12): 1520-1536. doi: 10.1016/j.annonc.2021.08.1995
    [17] Abd Elmoneim H M, Huwait H F, Nafady-Hego H, et al. Prognostic implications of pd-l1 expression and loss of pten in patients with rhabdomyosarcoma, Ewing’s sarcoma and osteosarcoma[J]. Exp Oncol, 2024, 45(3): 337-350.
    [18] 闫广宁, 喻玲, 赖续文, 等. 骨肉瘤中PD-1和CTLA-4的表达与患者临床病理特征及预后的相关性[J]. 肿瘤防治研究., 2023, 50(1): 63-68.
    [19] 褚吉祥, 冯超凡, 何喆, 等. 影像组学-临床特征联合模型预测骨肉瘤术后复发的价值[J]. 现代肿瘤医学, 2025, 6(16): 1-9.
    [20] 乔相帅, 郑凯, 徐明, 等. 肿瘤生长方式影像学表现对骨肉瘤预后影响的临床研究[J]. 骨科., 2024, 15(4): 332-338.
  • [1] 杨倩蓉, 曹雪, 杨娇, 赵燕秋, 沈楠, 孙娅娇.  肺癌患者病耻感现状及影响因素, 昆明医科大学学报. 2025, 46(1): 60-67. doi: 10.12259/j.issn.2095-610X.S20250108
    [2] 张江, 赵喜娟, 吴江, 杨秉坤, 杨妮, 周丽萍.  肺癌放疗患者衰弱现状及影响因素分析, 昆明医科大学学报. 2025, 46(2): 126-133. doi: 10.12259/j.issn.2095-610X.S20250218
    [3] 李青, 耿薇, 张凤喜, 张丹.  孕妇阴道微生态失衡与炎症因子水平预测妊娠结局的临床研究, 昆明医科大学学报. 2025, 46(9): 1-7.
    [4] 王军强, 陈莹, 高逢辰, 赵文秀, 曹舒璇, 李依奚, 和丽梅, 杨泽星.  高龄女性冻融胚胎移植周期临床妊娠结局预测模型构建, 昆明医科大学学报. 2025, 46(8): 51-57. doi: 10.12259/j.issn.2095-610X.S20250807
    [5] 王远珍, 魏红艳, 田仁海, 陈永臻, 许丹青, 张映媛, 常丽仙, 刘春云, 刘立.  原发性肝癌干预前并发慢性肝衰竭的风险预测模型建立与评价, 昆明医科大学学报. 2025, 46(3): 139-147. doi: 10.12259/j.issn.2095-610X.S20250321
    [6] 张云惠, 杨晓蓉, 贺谢巧, 罗发梦, 张海燕.  炎症性肠病患者营养风险影响因素分析, 昆明医科大学学报. 2025, 46(6): 171-176. doi: 10.12259/j.issn.2095-610X.S20250622
    [7] 马彬斌, 张少雄, 高永丽.  基于生物信息学探究ESCRT相关基因对骨肉瘤预后的评估价值, 昆明医科大学学报. 2025, 46(4): 36-45. doi: 10.12259/j.issn.2095-610X.S20250406
    [8] 姬燕梅, 李文俊, 李青芸, 郭妮, 蒙妮, 周丹, 李秋宇, 金醒昉.  急性缺血性脑卒中后认知障碍相关因素分析及列线图模型构建, 昆明医科大学学报. 2024, 45(5): 73-81. doi: 10.12259/j.issn.2095-610X.S20240511
    [9] 邱树梅, 杨静蕊, 邱学才.  昆明地区中老年人群血管性痴呆发生风险及影响因素, 昆明医科大学学报. 2024, 45(9): 91-96. doi: 10.12259/j.issn.2095-610X.S20240914
    [10] 王睿, 韩此林, 曹渊卿, 杨小燕.  医师职业倦怠影响因素的多水平模型分析, 昆明医科大学学报. 2024, 45(11): 67-72. doi: 10.12259/j.issn.2095-610X.S20241110
    [11] 李娟, 张峻, 郑巧玲, 冯朴琼, 何瑾.  神经外科万古霉素血药浓度监测结果及影响因素, 昆明医科大学学报. 2021, 42(6): 110-114. doi: 10.12259/j.issn.2095-610X.S20210614
    [12] 龙欣甜, 陈洁, 毛勇, 王秀清, 卢双艳, 普惠婕, 周佳, 孙承欢, 王松梅, 叶爱芳.  安宁市老年人高血压检出率及其影响因素, 昆明医科大学学报. 2021, 42(12): 11-16. doi: 10.12259/j.issn.2095-610X.S20211210
    [13] 胡雪松, 陈黎跃, 李世福, 董文斌, 何子倩, 董绍兴, 李顺祥.  慢性疼痛患者的失眠情况及影响因素, 昆明医科大学学报. 2021, 42(2): 118-123. doi: 10.12259/j.issn.2095-610X.S20210207
    [14] 周灵, 胡凤娣, 李蓉, 廖冶丹, 耿证琴, 唐嘉黛, 张雪琪, 谢琳, 杨祚璋.  预测骨肉瘤化疗耐药的临床评分系统, 昆明医科大学学报. 2021, 42(1): 29-37. doi: 10.12259/j.issn.2095-610X.S20210144
    [15] 李珊珊, 全宇航, 龚玲俐, 杨会, 浦劲宏, 王忠慧.  七氟烷对人骨肉瘤Saos2细胞增殖、侵袭、迁移及凋亡的影响, 昆明医科大学学报. 2020, 41(05): 103-107.
    [16] 张晋煜, 彭灼辉.  ERCC基因多态性与骨肉瘤的生存相关性, 昆明医科大学学报. 2017, 38(09): 59-65.
    [17] 马晓燕.  孕晚期妇女抑郁状况调查及其影响因素, 昆明医科大学学报. 2016, 37(03): -.
    [18] 陆斌.  骨肉瘤患者血浆中microRNA-181b水平的检测, 昆明医科大学学报. 2015, 36(09): -1.
    [19] 罗文东.  云南省彝族、傣族、汉族遗体捐献意愿及影响因素的调查分析, 昆明医科大学学报. 2013, 34(12): -1.
    [20] 何利平.  富民县参合农民需住院影响因素分析, 昆明医科大学学报. 2009, 30(01): -.
  • 加载中
图(4) / 表(5)
计量
  • 文章访问数:  41
  • HTML全文浏览量:  23
  • PDF下载量:  1
  • 被引次数: 0
出版历程
  • 收稿日期:  2025-07-15

目录

    /

    返回文章
    返回