留言板

尊敬的读者、作者、审稿人, 关于本刊的投稿、审稿、编辑和出版的任何问题, 您可以本页添加留言。我们将尽快给您答复。谢谢您的支持!

姓名
邮箱
手机号码
标题
留言内容
验证码

基于生物信息学探究ESCRT相关基因对骨肉瘤预后的评估价值

马彬斌 张少雄 高永丽

马彬斌, 张少雄, 高永丽. 基于生物信息学探究ESCRT相关基因对骨肉瘤预后的评估价值[J]. 昆明医科大学学报, 2025, 46(4): 36-45. doi: 10.12259/j.issn.2095-610X.S20250406
引用本文: 马彬斌, 张少雄, 高永丽. 基于生物信息学探究ESCRT相关基因对骨肉瘤预后的评估价值[J]. 昆明医科大学学报, 2025, 46(4): 36-45. doi: 10.12259/j.issn.2095-610X.S20250406
Binbin MA, Shaoxiong ZHANG, Yongli GAO. Bioinformatics-based Investigation of the Prognostic Value of ESCRT-related Genes in Osteosarcoma Assessment[J]. Journal of Kunming Medical University, 2025, 46(4): 36-45. doi: 10.12259/j.issn.2095-610X.S20250406
Citation: Binbin MA, Shaoxiong ZHANG, Yongli GAO. Bioinformatics-based Investigation of the Prognostic Value of ESCRT-related Genes in Osteosarcoma Assessment[J]. Journal of Kunming Medical University, 2025, 46(4): 36-45. doi: 10.12259/j.issn.2095-610X.S20250406

基于生物信息学探究ESCRT相关基因对骨肉瘤预后的评估价值

doi: 10.12259/j.issn.2095-610X.S20250406
基金项目: 云南省教育厅科学研究基金(2023J0305)
详细信息
    作者简介:

    马彬斌(1983~),男,云南玉溪人,医学硕士,副主任医师,主要从事急诊创伤及骨科方面的临床与基础研究工作

    通讯作者:

    高永丽,E-mail:167925224@qq.com

  • 中图分类号: R738.14

Bioinformatics-based Investigation of the Prognostic Value of ESCRT-related Genes in Osteosarcoma Assessment

  • 摘要:   目的  基于生物信息学探究内吞体运输必需分选复合物(endosomal sorting complex required for transport,ESCRT)相关基因对骨肉瘤(osteosarcoma,OS)预后的价值评估。  方法  对基于TARGET数据库下载的88份骨肉瘤测序样本(死亡结局29例)数据及257份患者临床信息进行预处理;并使用Survival包构建Cox比例风险模型,筛选与生存相关的ESCRT基因。使用STRING数据库构建蛋白相互作用网络,并基于PPI筛选出核心基因;对筛选出的节点数5个以上的核心基因进行KEGG富集分析。运用Lasso回归分析技术,识别与骨肉瘤患者预后更为紧密相关的ESCRT相关基因。  结果  筛选到与ESCRT相关基因1486个;与生存相关的ESCRT基因164个。CLTC、MYC、INSR、PTPN1、TNFRSF1A可作为骨肉瘤患者预后相关的核心基因。将OS患者随机分为训练集(n = 44)和验证集(n = 44),在训练集中,被归为高风险组的骨肉瘤患者的总生存期明显短于被归为低风险组的患者(P < 0.05),验证集同样得到相似结果(P < 0.01)。ROC(receiver operating characteristic curve,ROC)曲线显示,在训练集中,AUC为0.846;在验证集中,AUC为0.877。对核心基因的预后生存分析与差异分析结果显示:在验证集中,MYC在高低风险组间无统计学差异;在训练集中INSR无统计学差异。在总的数据集中,所有预后核心基因均有统计学差异(P < 0.05)。采用R包Survival对核心基因进行生存分析显示,除MYC基因生存率没有差异外(P > 0.05),其他4个基因CLTC、INSR、PTPN1、TNFRSF1A生存率均存在明显统计学差异(P < 0.05)。经单因素独立预后分析,发现存在3个基因(TNFRSF1A、PTPN1、MYC)与骨肉瘤患者的生存存在相关性。经多因素独立预后分析并最终得到2个关键基因(TNFRSF1A、PTPN1)是影响骨肉瘤生存预后的独立因子,与骨肉瘤患者的生存预后密切相关。  结论  应用生物信息学成功构建了基于TNFRSF1A、PTPN1 2个关键基因表达的骨肉瘤生存预后风险评分模型,可为骨肉瘤的临床治疗及生存预后评估提供更多的选择。
  • 图  1  PPI网络的构建

    A:PPI网络图;B:PPI网络节点数排名前30的基因。

    Figure  1.  Construction of the PPI network

    图  2  KEGG富集分析结果

    A:核心基因通路富集表达列表;B:富集分析柱状图。

    Figure  2.  Results of KEGG enrichment analysis

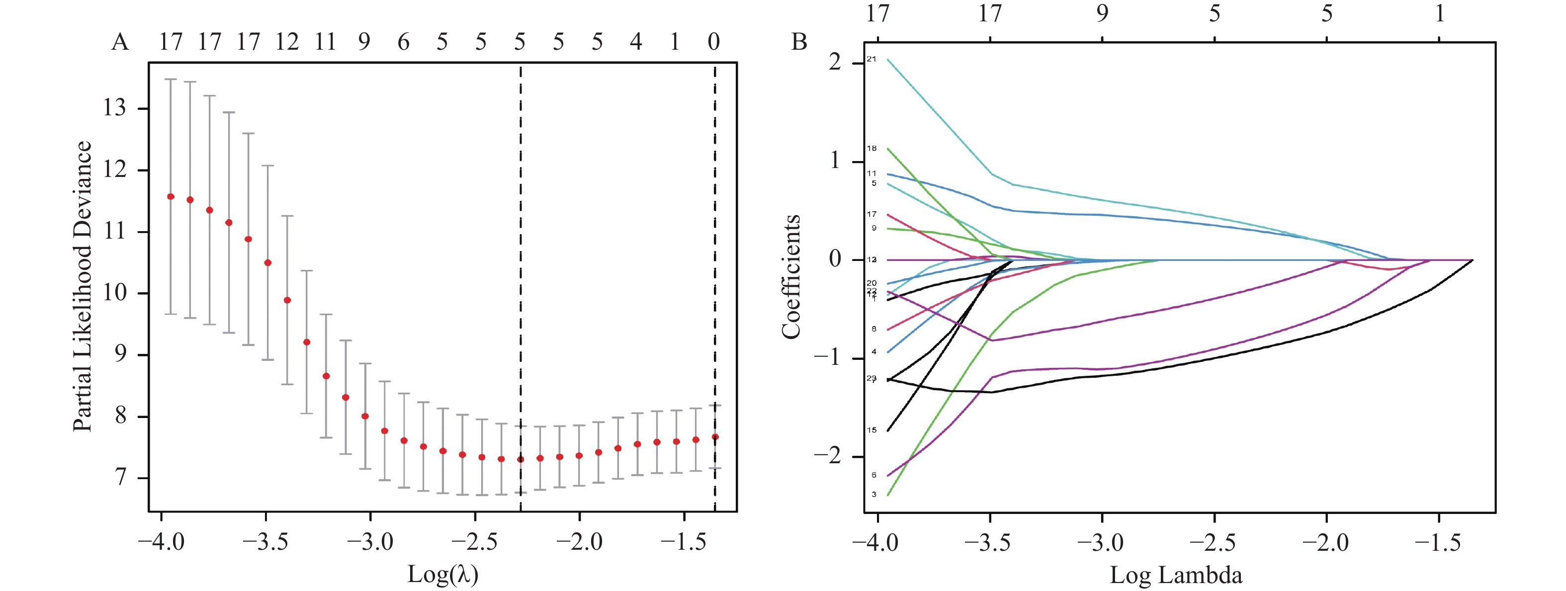
    图  3  lasso筛选骨肉瘤核心基因和交叉验证结果

    A:交叉验证误差图;B:系数路径图。

    Figure  3.  lasso screen for osteosarcoma core genes and cross-validation results

    图  4  预后核心基因的评估

    A:训练集高低风险组的生存分析;B:验证集高低风险组的生存分析;C:训练集的ROC曲线(横坐标为假阳性率,纵坐标为真阳性率);D:验证集的ROC曲线(横坐标为假阳性率,纵坐标为真阳性率)。

    Figure  4.  Evaluation of prognostic core genes

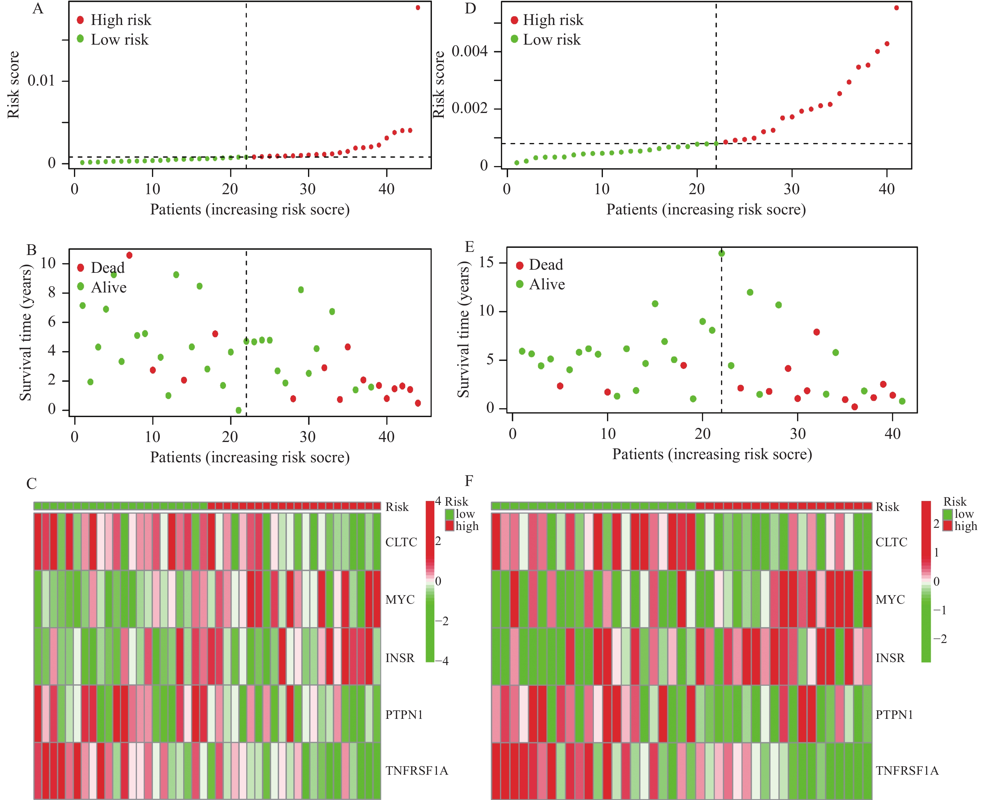
    图  5  预后模型的评估

    A:训练集的风险评分;B:训练集生存状态;C:训练集表达热图;D:验证集的风险评分;E:验证集生存状态;F:验证集表达热图。

    Figure  5.  Evaluation of prognostic models

    图  6  预后核心基因在高低风险组中的差异分析

    A:验证集中核心基因差异性分析;B:训练集中核心基因差异性分析;C:总数据集中核心基因差异性分析。

    Figure  6.  Differential analysis of prognostic core genes in high and low risk groups

    图  7  预后核心基因的单基因生存分析

    A:MYC基因生存曲线;B:CLTC基因生存曲线;C:INSR基因生存曲线;D:PTPN1基因生存曲线;E:TNFRSF1A基因生存曲线。

    Figure  7.  Single-gene survival analysis of prognostic core genes

    图  8  预后核心基因的独立预后分析

    A:单因素独立预后分析;B:多因素独立预后分析。

    Figure  8.  Independent prognostic analyses of prognostic core gene

    图  9  列线图

    Figure  9.  Column-line diagrams

  • [1] Corre I, Verrecchia F, Crenn V, et al. The osteosarcoma microenvironment: A complex but targetable ecosystem[J]. Cells,2020,9(4):976.
    [2] Kumar R,Kumar M,Malhotra K,et al. Primary osteosarcoma in the elderly revisited: Current concept in diagnosis and treatment[J]. Curr Oncol Rep,2018,20(2):13. doi: 10.1007/s11912-018-0658-1
    [3] 陈炳鹏.NOB1在骨肉瘤中的功能和作用机制研究[D].长春:吉林大学,2014.
    [4] Rojas G A,Hubbard A K,Diessner B J,et al. International trends in incidence of osteosarcoma (1988-2012)[J]. Int J Cancer,2021,149(5):1044-1053. doi: 10.1002/ijc.33673
    [5] 赵成鹏,段永福,周晓波,等. 保肢手术在不同年龄儿童骨肉瘤中应用的临床研究[J]. 中华小儿外科杂志,2015,36(5):322-325.
    [6] 王敏,孙倩. 内吞体运输必需分选复合物在肿瘤中的作用[J]. 中国肿瘤临床,2023,50(13):673-678.
    [7] 张杰. 肿瘤标志物在早期膀胱癌肿瘤的诊断价值及临床表达意义[J]. 中国卫生工程学,2017,16(4):490-492.
    [8] 曾叶旻虓,蔡成龙,陆潞. 骨肉瘤发生发展相关信号通路研究进展[J]. 吉林医学,2024,45(4):923-927.
    [9] 陈美丽,钱汉清,张全安,等. 二代测序技术在原发灶不明肿瘤诊疗中的研究进展[J]. 中国肿瘤临床,2023,50(20):1059-1062.
    [10] La Torre M, Burla R, Saggio I. Preserving genome integrity: Unveiling the roles of ESCRT machinery[J]. Cells,2024,13(15):1307.
    [11] Pikarsky E,Porat R M,Stein I,et al. NF-kappaB functions as a tumour promoter in inflammation-associated cancer[J]. Nature,2004,431(7007):461-466. doi: 10.1038/nature02924
    [12] Rivas M A,Carnevale R P,Proietti C J,et al. TNF alpha acting on TNFR1 promotes breast cancer growth via p42/P44 MAPK,JNK,Akt and NF-kappa B-dependent pathways[J]. Exp Cell Res,2008,314(3):509-529. doi: 10.1016/j.yexcr.2007.10.005
    [13] Miles D W,Happerfield L C,Naylor M S,et al. Expression of tumour necrosis factor (TNF alpha) and its receptors in benign and malignant breast tissue[J]. Int J Cancer,1994,56(6):777-782. doi: 10.1002/ijc.2910560603
    [14] Tran T A,Kallakury B V,Ambros R A,et al. Prognostic significance of tumor necrosis factors and their receptors in nonsmall cell lung carcinoma[J]. Cancer,1998,83(2):276-282. doi: 10.1002/(SICI)1097-0142(19980715)83:2<276::AID-CNCR11>3.0.CO;2-Q
    [15] Xu F,Zhou G,Han S,et al. Association of TNF-α,TNFRSF1A and TNFRSF1B gene polymorphisms with the risk of sporadic breast cancer in northeast Chinese Han women[J]. PLoS One,2014,9(7):e101138. doi: 10.1371/journal.pone.0101138
    [16] Rittore C, Sanchez E, Soler S, et al. Identification of a new exon 2-skipped TNFR1 transcript: Regulation by three functional polymorphisms of the TNFR-associated periodic syndrome (TRAPS) gene[J]. Ann Rheum Dis,2014,73(1):290-297.
    [17] Madeleine M M,Johnson L G,Malkki M,et al. Genetic variation in proinflammatory cytokines IL6,IL6R,TNF-region,and TNFRSF1A and risk of breast cancer[J]. Breast Cancer Res Treat,2011,129(3):887-899. doi: 10.1007/s10549-011-1520-4
    [18] Banh R S,Iorio C,Marcotte R,et al. PTP1B controls non-mitochondrial oxygen consumption by regulating RNF213 to promote tumour survival during hypoxia[J]. Nat Cell Biol,2016,18(7):803-813. doi: 10.1038/ncb3376
    [19] Wiener J R,Hurteau J A,Kerns B J,et al. Overexpression of the tyrosine phosphatase PTP1B is associated with human ovarian carcinomas[J]. Am J Obstet Gynecol,1994,170(4):1177-1183. doi: 10.1016/S0002-9378(94)70118-0
    [20] Liu H,Wu Y,Zhu S,et al. PTP1B promotes cell proliferation and metastasis through activating src and ERK1/2 in non-small cell lung cancer[J]. Cancer Lett,2015,359(2):218-225. doi: 10.1016/j.canlet.2015.01.020
    [21] Warabi M,Nemoto T,Ohashi K,et al. Expression of protein tyrosine phosphatases and its significance in esophageal cancer[J]. Exp Mol Pathol,2000,68(3):187-195. doi: 10.1006/exmp.2000.2303
    [22] Dubé N,Bourdeau A,Heinonen K M,et al. Genetic ablation of protein tyrosine phosphatase 1B accelerates lymphomagenesis of p53-null mice through the regulation of B-cell development[J]. Cancer Res,2005,65(21):10088-10095. doi: 10.1158/0008-5472.CAN-05-1353
    [23] Liu J,Luan W,Zhang Y,et al. HDAC6 interacts with PTPN1 to enhance melanoma cells progression[J]. Biochem Biophys Res Commun,2018,495(4):2630-2636. doi: 10.1016/j.bbrc.2017.12.145
    [24] Wang N,She J,Liu W,et al. Frequent amplification of PTP1B is associated with poor survival of gastric cancer patients[J]. Cell Cycle,2015,14(5):732-743. doi: 10.1080/15384101.2014.998047
    [25] Petri M K,Koch P,Stenzinger A,et al. PTPIP51,a positive modulator of the MAPK/Erk pathway,is upregulated in glioblastoma and interacts with 14-3-3β and PTP1B in situ[J]. Histol Histopathol,2011,26(12):1531-1543.
  • [1] 王晓健, 刘俊平, 张迪, 郭谦.  外周血单个核细胞miR-155、miR-146a联合预测尿毒症维持性血液透析患者预后不良风险的价值, 昆明医科大学学报.
    [2] 张志英, 时培景.  血清CD46、KLF7、FURIN与慢性宫颈炎合并HPV感染患者临床病理特征的关系及预后预测价值, 昆明医科大学学报.
    [3] 赵梦娇, 巨艳妮.  血清NF-κB、S1P1、SOCS3水平与细菌感染性肺炎患儿病情程度的相关性及预后预测价值, 昆明医科大学学报.
    [4] 田甜, 杨晓东, 葛树杰.  胃癌患者血清 PON-1、NDRG4、SFRP4 表达与外周血免疫细胞分布及预后的关系, 昆明医科大学学报. doi: 10.12259/j.issn.2095-610X.S20260214
    [5] 刘塞兵, 闫立萍, 孙阿妮.  miR-132、BDNF和NRG-1在急性缺血性脑卒中相关血管性痴呆诊断及预后中的应用研究, 昆明医科大学学报.
    [6] 王左华, 伍荣凤, 张晓燕, 王惠萍.  血清IL-27、CysC、GAPDH抗体与视神经脊髓炎谱系疾病患儿病情程度的关系及对预后的影响, 昆明医科大学学报. doi: 10.12259/j.issn.2095-610X.S20250718
    [7] 崔红艳, 张舒扬, 周雯雯.  血清STAT3、HDAC2、Del-1水平在呼吸道合胞病毒感染性肺炎患儿病情及预后评估中的应用, 昆明医科大学学报. doi: 10.12259/j.issn.2095-610X.S20251116
    [8] 林欢欢, 杨东光, 李艳平, 李海云, 韩金巧.  PG Ⅰ/PG Ⅱ、NAP1L1、SERPINB5在胃癌患者血清中的表达及与预后的Cox回归分析, 昆明医科大学学报. doi: 10.12259/j.issn.2095-610X.S20250806
    [9] 马国玉, 杨鑫, 邵为林, 全楚琪, 杨晓慧, 杨祚璋, 姚志红.  骨肉瘤患者复发的影响因素分析及Nomogram预测模型构建, 昆明医科大学学报. doi: 10.12259/j.issn.2095-610X.S20251111
    [10] 肖玉华, 闫玲新, 曹吉东, 柴金华.  胰腺癌组织中LMO2、CAPRIN1表达及其与预后的相关性, 昆明医科大学学报. doi: 10.12259/j.issn.2095-610X.S20251216
    [11] 陆小华, 袁洪新.  BTLA、CTLA-4基因多态性与肝癌TACE联合靶向治疗疗效及预后相关性, 昆明医科大学学报. doi: 10.12259/j.issn.2095-610X.S20230927
    [12] 蔡丽, 杨华英, 程建红, 曹佳, 魏娜.  小儿消化性溃疡治疗期间血清6-Keto-PGF1α、TGF-α、TXB2水平变化及对预后的影响, 昆明医科大学学报. doi: 10.12259/j.issn.2095-610X.S20230928
    [13] 朱中山, 杨洲, 江承川, 李小兵, 任斗, 黄橙, 张维薇, 李湘军, 赵顺利.  肺腺癌患者PLA2G1B表达情况与预后的相关性, 昆明医科大学学报. doi: 10.12259/j.issn.2095-610X.S20220912
    [14] 周灵, 胡凤娣, 李蓉, 廖冶丹, 耿证琴, 唐嘉黛, 张雪琪, 谢琳, 杨祚璋.  预测骨肉瘤化疗耐药的临床评分系统, 昆明医科大学学报. doi: 10.12259/j.issn.2095-610X.S20210144
    [15] 李珊珊, 全宇航, 龚玲俐, 杨会, 浦劲宏, 王忠慧.  七氟烷对人骨肉瘤Saos2细胞增殖、侵袭、迁移及凋亡的影响, 昆明医科大学学报.
    [16] 王宇, 袁涛, 陈家会, 王蓉, 尹德增.  肱骨近端中央型低级别软骨肉瘤手术方式选择及其预后, 昆明医科大学学报.
    [17] 张晋煜, 彭灼辉.  ERCC基因多态性与骨肉瘤的生存相关性, 昆明医科大学学报.
    [18] 陆斌.  骨肉瘤患者血浆中microRNA-181b水平的检测, 昆明医科大学学报.
    [19] 许建新.  uPA、PAI-1蛋白在大肠癌中的表达及其与预后的关系, 昆明医科大学学报.
    [20] 李崇阳.  青少年骨肉瘤治疗及预后相关因素分析, 昆明医科大学学报.
  • 加载中
图(9)
计量
  • 文章访问数:  1170
  • HTML全文浏览量:  821
  • PDF下载量:  44
  • 被引次数: 0
出版历程
  • 收稿日期:  2024-06-19
  • 网络出版日期:  2024-11-11
  • 刊出日期:  2025-04-25

目录

    /

    返回文章
    返回