留言板

尊敬的读者、作者、审稿人, 关于本刊的投稿、审稿、编辑和出版的任何问题, 您可以本页添加留言。我们将尽快给您答复。谢谢您的支持!

姓名
邮箱
手机号码
标题
留言内容
验证码

云南少数民族地区癌症防治核心知识知晓率现状调查

周海 贺钧 撒奉建 李四乐 岑泳村 马洁 黄云超

周海, 贺钧, 撒奉建, 李四乐, 岑泳村, 马洁, 黄云超. 云南少数民族地区癌症防治核心知识知晓率现状调查[J]. 昆明医科大学学报.
引用本文: 周海, 贺钧, 撒奉建, 李四乐, 岑泳村, 马洁, 黄云超. 云南少数民族地区癌症防治核心知识知晓率现状调查[J]. 昆明医科大学学报.
Hai ZHOU, Jun HE, Fengjian SA, Sile LI, Yongcun CEN, Jie MA, Yunchao HUANG. Awareness of the Core Knowledge of Cancer Prevention and Control in Ethnic Minority Areas of Yunnan,China:A Cross-Sectional Study[J]. Journal of Kunming Medical University.
Citation: Hai ZHOU, Jun HE, Fengjian SA, Sile LI, Yongcun CEN, Jie MA, Yunchao HUANG. Awareness of the Core Knowledge of Cancer Prevention and Control in Ethnic Minority Areas of Yunnan,China:A Cross-Sectional Study[J]. Journal of Kunming Medical University.

云南少数民族地区癌症防治核心知识知晓率现状调查

基金项目: 国家自然科学基金(82360562);云南省科技厅重点研发计划(202403AC100015);昆明医科大学大健康相关人文社会科学研究基金资助项目(DJK2024101);大学生创新性实验计划项目(2024CYD098)
详细信息
    作者简介:

    周海(1989~),男,云南保山人,医学硕士,主治医师,主要从事癌症防控和流行病与卫生统计学工作

    通讯作者:

    黄云超,E-mail:huangych2001@aliyun.com

  • 中图分类号: R730.1

Awareness of the Core Knowledge of Cancer Prevention and Control in Ethnic Minority Areas of Yunnan,China:A Cross-Sectional Study

  • 摘要:   目的  了解云南省少数民族地区居民癌症防治核心知识知晓水平及其影响因素,提出有针对性的对策和建议。  方法  2022年9月—12月,在云南省8个少数民族自治州进行了一项横断面研究,采用多阶段概率抽样的方法招募参与者,收集的调查对象的人口学特征信息,癌症防治核心知识信息,涵盖癌症的基本知识,预防、早诊早治、健康管理、康复5个维度。采用逐步条件法的二元Logistics回归模型来确定与癌症防治核心知识相关的影响因素。  结果  共计纳入3507名研究对象,云南省8个少数民族地区癌症防治核心知识的总体知晓率为52.07%(95%CI:50.42%~53.72%),民族、所在州市、文化程度、职业、癌症家族史、自我评估健康状况和是否参与癌症筛查或防癌体检是癌症防治核心知识知晓率的影响因素。  结论  云南省8个少数民族地区癌症防治核心知识的总体知晓水平较低,且民族、所在州市、文化程度、职业、癌症家族史、自我健康状况评估和是否参与癌症筛查是影响居民防癌意识的因素,今后应针对少数民族地区人群采取有针对的宣传策略。
  • 图  1  招募流程

    Figure  1.  Recruitment process

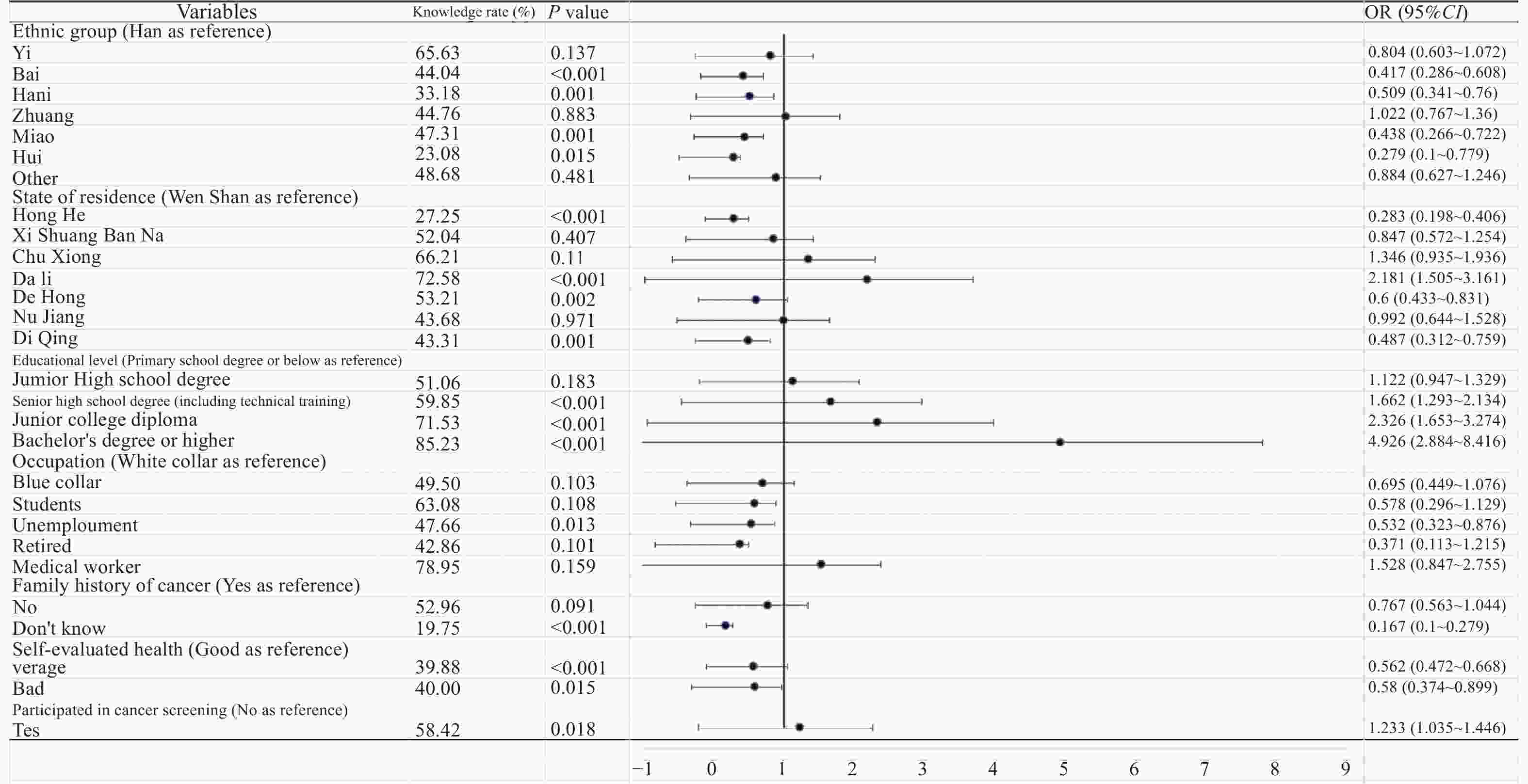
    图  2  云南省8个少数民族自治州居民癌症防治核心知识知晓影响因素森林图

    Figure  2.  Forest plot of factors influencing awareness rate of core cancer prevention and control knowledge among residents in 8 ethnic minority states in Yunnan

    表  1  不同人群特征癌症核心知识知晓情况(n = 3507)[n(%)](1)

    Table  1.   Cancer core knowledge awareness in different demographic groups(n = 3507)[n(%)](1)

    分组 知晓不足(n=1681 知晓
    n=1826)
    合计
    n=3507
    性别
     男 856(49.20) 884(50.80) 1740(49.62)
     女 825(46.69) 942(53.31) 1767(50.38)
    年龄(岁)
     <25 156(44.96) 191(55.04) 347(9.89)
     25~ 865(46.48) 996(53.52) 1861(53.07)
     45~ 579(50.00) 579(50.00) 1158(33.02)
     >65 81(57.45) 60(42.55) 141(4.02)
    户口类型
     城市 1517(48.50) 1611(51.50) 3128(89.19)
     农村 164(43.27) 215(56.73) 379(10.81)
    民族
     汉族 397(41.40) 562(56.60) 959(27.35)
     彝族 210(34.37) 401(65.63) 611(17.42)
     白族 249(55.96) 196(44.04) 445(12.69)
     哈尼族 149(66.82) 74(33.18) 223(6.36)
     壮族 237(55.24) 192(44.76) 429(12.23)
     苗族 49(52.69) 44(47.31) 93(2.65)
     回族 20(76.92) 6(23.08) 26(0.74)
     其他 370(51.32) 351(48.68) 721(20.56)
    居住地
     文山 172(40.38) 254(59.62) 426(12.15)
     红河 307(75.75) 115(27.25) 422(12.03)
     西双版纳 212(47.96) 230(52.04) 442(12.60)
     楚雄 147(33.79) 288(66.21) 435(12.40)
     大理 116(27.42) 307(72.58) 423(12.06)
     德宏 197(46.79) 224(53.21) 421(12.00)
     怒江 263(56.32) 204(43.68) 467(13.32)
     迪庆 267(56.69) 204(43.31) 471(13.43)
    婚姻状况
     独居(未婚、离婚和丧偶) 274(44.48) 342(55.52) 616(17.56)
     已婚 1407(48.67) 1484(55.52) 2891(82.44)
    文化程度
     小学及以下 838(56.24) 652(43.76) 1490(42.49)
     初中 578(48.94) 630(51.06) 1181(33.68)
     高中(含职高) 163(40.15) 243(59.85) 406(11.58)
     大专 80(28.47) 201(71.53) 281(8.01)
     本科及以上 22(14.77) 127(85.23) 149(4.25)
    职业
     白领 43(24.02) 136(75.98) 179(5.10)
     蓝领 1455(50.50) 1426(49.50) 2881(82.15)
     学生 24(36.92) 41(63.08) 65(1.85)
     未就业 123(52.34) 112(47.66) 235(6.70)
     离退休 8(57.14) 6(42.86) 14(0.40)
     医务人员 28(21.05) 105(78.95) 133(3.79)
      BMI:体重指数;白领:包括办公室职员、教师、工程师、公务员等脑力工作者;蓝领:包括农民、工人、渔民、司机等体力工作者。
    下载: 导出CSV

    1  不同人群特征癌症核心知识知晓情况(n = 3507)[n(%)](2)

    1.   Cancer core knowledge awareness in different demographic groups(n = 3507)[n(%)](2)

    分组知晓不足(n=1681知晓
    n=1826)
    合计
    n=3507
    癌症家族史
     是79(37.26)133(62.74)212(6.05)
     否1476(47.04)1662(52.96)3138(89.48)
     不知道126(80.25)31(19.75)157(4.48)
    BMI(kg/m2
     <18.5(偏瘦)102(52.58)92(47.42)194(5.53)
     18.5~24.9(正常)1158(47.99)1255(52.01)2413(68.81)
     ≥25(超重)421(46.78)479(53.22)900(25.66)
    吸烟状况
     吸烟522(50.24)517(49.76)1039(29.63)
     以前吸,已戒烟86(52.76)77(47.24)163(4.65)
     从不吸烟1073(46.55)1232(53.45)2305(65.73)
    自我健康状况评估
     好1113(43.44)1449(56.56)2562(73.05)
     一般508(60.12)337(39.88)845(24.09)
     差60(60.00)40(40.00)100(2.85)
    参与癌症筛查
     是385(41.58)541(58.42)926(26.40)
     否1296(50.21)1285(49.79)2581(73.60)
      BMI:体重指数;白领:包括办公室职员、教师、工程师、公务员等脑力工作者;蓝领:包括农民、工人、渔民、司机等体力工作者。
    下载: 导出CSV

    表  2  云南省8个少数民族自治州居民各条目知晓情况

    Table  2.   Awareness of each item among residents in 8 ethnic minority states in Yunnan

    题目类别 问题 知晓人数 知晓率(%)
    癌症认知 B1.癌症的发生通常需要十几到几十年的时间 1626 46.40
    B6.癌症不是绝症,患者可以与癌症“和平共存” 1918 54.69
    C1.关于癌症与生活方式的关系,以下说法正确的是 2027 57.79
    C2.目前,我国人群中最常见的癌症是 2658 75.79
    C3.以下关于肿瘤的说法,正确的是 2044 58.28
    D1.癌症的发生和哪些因素有关 1462 41.68
    癌症预防 B2.有些癌症(如乳腺癌、肠癌等)具有一定的遗传性,家人应引起重视 2331 66.47
    C4.关于癌症的预防,以下说法正确的是 2001 57.06
    D2.长期食用下列哪些食物可增加患癌风险 1383 39.44
    D3.您认为工作中长期接触下列哪些物质时,可能增加癌症的发生风险 1466 41.80
    D4.预防癌症的发生,应该做到 2324 66.27
    D5.采取以下哪些措施,可有效降低癌症的发病和死亡 1874 53.44
    早诊早治 B3.出现经常性干咳、痰中带血等症状,提示可能患有肺癌 2364 67.41
    C5.关于癌症确诊方式的说法,以下正确的是 2214 63.13
    C6.如果近期出现如厕频繁,大便带血且大便变细,则可能是患了 2260 64.44
    C7.以下关于癌症治疗效果和生存时间说法,正确的是 2413 68.81
    D6.出现下列哪些症状时,提示可能患有乳腺癌,应及时去医院就诊 1881 53.64
    D7.以下哪些症状可能是癌症的警示信号,应引起重视 1656 47.22
    管理 B4.很多癌症可以通过民间偏方,服用保健品,或遵从广告中的治疗方案来治愈 2941 83.86
    康复 B5.癌症的康复阶段只需要做到积极调整身体免疫力即可,心态对维持患者病情稳定作用不大 1945 55.46
    B为判断题;C为单选题;D为多选题。
    下载: 导出CSV

    表  3  云南省8个少数民族自治州居民癌症防治核心知识知晓率Logistics回归分析

    Table  3.   Logistic regression analysis for the core knowledge of cancer prevention and treatment among residents in 8 ethnic minority states in Yunnan

    变量Crude ORAdjust OR95%CI
    民族(参照组=汉族)
     彝族1.3490.8040.603~1.072
     白族0.5560.4170.286~0.608
     哈尼族0.3510.5090.341~0.760
     壮族0.5721.0220.767~1.360
     苗族0.6340.4380.266~0.722
     回族0.2120.2790.100~0.779
     其他0.6700.8840.627~1.246
    居住地 (参考组=文山州)
     红河州0.2540.2830.198~0.406
     西双版纳州0.7350.8470.572~1.254
     楚雄州1.3271.3460.935~1.936
     大理州1.7922.1811.505~3.161
     德宏州0.7700.6000.433~0.831
     怒江州0.5250.9920.644~1.528
     迪庆州0.5170.4870.312~0.759
    文化程度 (参考组=小学及以下)
     初中1.3411.1220.947~1.329
     高中(含职高)1.9161.6621.293~2.134
     大专3.2292.3261.653~3.274
     本科及以上7.4204.9262.884~8.416
    职业(参考组=白领)
     蓝领0.3100.6950.449~1.076
     学生0.5400.5780.296~1.129
     未就业0.2880.5320.323~0.876
     离退休0.2370.3710.113~1.215
     医务人员1.1861.5280.847~2.755
    癌症家族史 (参考组=是)
     否0.6690.7670.563~1.044
     不知道0.1460.1670.100~0.279
    自我健康状况评估(参考组=好)
    一般0.510.5620.472~0.668
     差0.5120.5800.374~0.899
    参与癌症筛查(参考组=否)
     是1.4171.2231.035~1.446
    下载: 导出CSV
  • [1] Chen W, Zheng R, Baade P D, et al. Cancer statistics in China, 2015[J]. CA A Cancer J Clinicians, 2016, 66(2): 115-132.
    [2] Han B, Zheng R, Zeng H, et al. Cancer incidence and mortality in China, 2022[J]. Journal of the National Cancer Center, 2024, 4(1): 47-53. doi: 10.1016/j.jncc.2024.01.006
    [3] 健康中国行动——癌症防治行动实施方案(2023—2030年). [J]. 中国肿瘤, 2023.32(12): 887-890.
    [4] Yang T B, Lin X J, Lin J L, et al. Influencing factors of cancer prevention and control among urban and rural adults in Fujian, China: A cross-sectional survey[J]. Frontiers in Public Health, 2022, 10: 1053183. doi: 10.3389/fpubh.2022.1053183
    [5] 王庆生, 陈万青. 癌症防治策略的探索与分析[J]. 中国医学前沿杂志(电子版), 2016, 8(7): 13-18.
    [6] 张丹, 熊钰, 刘佳惠, 等, 中国居民癌症防治核心知识知晓现状及其影响因素的Meta分析. [J]. 肿瘤预防与治疗, 2023.36(6): 476-485.
    [7] 丁高恒, 刘玉琴, 李博, 等, 2018年中国上消化道癌高发区居民癌症防治核心知识知晓率及其影响因素分析. [J]. 中华肿瘤防治杂志, 2021.28(21): 1599-1605.
    [8] 杨璧榕, 余龙涛, 李震萍, 等. 2012—2019年云南省肿瘤登记地区恶性肿瘤的发病与死亡趋势分析

    J]. 中国肿瘤, 2024, 33(2): 125-133.
    [9] 查震球, 吕逸丽, 陈叶纪, 等. 安徽省成年居民癌症防治核心知识知晓现状及影响因素分析[J]. 中国肿瘤, 2022, 31(8): 655-662.
    [10] 司国金, 吕章艳, 李文轩, 等. 天津市肿瘤筛查人群的癌症防治核心知识及健康素养调查分析[J]. 中华肿瘤防治杂志, 2025, 32(1): 1016073.
    [11] Li H, Zeng H, Zheng R, et al. Association of cancer awareness levels with the risk of cancer in rural China: A population-based cohort study[J]. Cancer, 2020, 126(20): 4563-4571. doi: 10.1002/cncr.33029
    [12] 刘成成, 石春雷, 石菊芳, 等. 2015—2017年中国城市居民肿瘤预防意识健康素养及相关因素分析

    J]. 中华预防医学杂志, 2020, 54(1): 47-53.
    [13] 朱玲, 赵否曦, 汪姜涛, 等. 2021年贵州省上消化道癌筛查项目点癌症防治核心知识知晓水平及影响因素分析 doi: 10.16168/j.cnki.issn.1002-9982.2024.11.001

    J]. 中国健康教育, 2024, 40(11): 961-964+970. doi: 10.16168/j.cnki.issn.1002-9982.2024.11.001
    [14] 马婧, 乔良, 钟志刚, 等. 基于倾向性评分匹配的四川省居民癌症防治核心知识知晓情况变化分析

    J]. 肿瘤预防与治疗, 2024, 37(2): 140-148.
    [15] 胡祖海, 赵胜林, 刘秀, 等. 重庆市居民癌症防治核心知识知晓情况调查分析

    J]. 中国慢性病预防与控制, 2023, 31(7): 509-513.
    [16] 周海, 周永春, 姚志红, 等. 2022年昆明市居民癌症防治核心知识知晓现状及影响因素分析

    J]. 肿瘤综合治疗电子杂志, 2024, 10(2): 99-105.
    [17] 常鹄, 刘炬, 孙萍, 等. 北京市社区居民肿瘤防治知信行调查及影响因素分析

    J]. 肿瘤预防与治疗, 2021, 34(7): 664-671.
    [18] Chen W, Ren H, Wang N, et al. The relationship between socioeconomic position and health literacy among urban and rural adults in regional China[J]. BMC Public Health, 2021, 21(1): 527. doi: 10.1186/s12889-021-10600-7
    [19] 滕菲, 李贺, 曹毛毛, 等. 基于中国部分农村上消化道癌筛查地区的癌症防治核心知识知晓情况分析

    J]. 肿瘤预防与治疗, 2020, 33(6): 493-500.
    [20] 周海茸, 王巍巍, 缪伟刚, 等. 南京市居民癌症核心知识知晓率及其影响因素研究

    J]. 中国健康教育, 2024, 40(9): 777-783.
    [21] Karasiewicz M, Chawłowska E, Lipiak A, et al. How to improve cancer prevention knowledge? A way to identify gaps and tackle the limited availability of health education services in primary health care using the European code against cancer[J]. Frontiers in Public Health, 2022, 10: 878703. doi: 10.3389/fpubh.2022.878703
    [22] Kim H K, Lwin M O. Cultural effects on cancer prevention behaviors: Fatalistic cancer beliefs and risk optimism among asians in Singapore[J]. Health Communication, 2017, 32(10): 1201-1209. doi: 10.1080/10410236.2016.1214224
  • [1] 夏斌斌, 黄融雪, 杨红菊, 孙杨.  中国地域性及民族特异性肠道微生物组特征及其对疾病的影响, 昆明医科大学学报. 2025, 46(11): 1-10. doi: 10.12259/j.issn.2095-610X.S20251101
    [2] 沈亚洁, 杨亚丽, 余志清, 乔诚.  云南省贡山县少数民族高尿酸血症患病率调查, 昆明医科大学学报. 2025, 46(3): 39-43. doi: 10.12259/j.issn.2095-610X.S20250307
    [3] 陈茂森, 黄达峰, 李佩谦, 肖洁, 马子雪, 樊超, 戴雅伊, 张晗, 黄莹.  云南少数民族聚集地近视学龄儿童屈光进展及相关因素, 昆明医科大学学报. 2025, 46(1): 9-15. doi: 10.12259/j.issn.2095-610X.S20250102
    [4] 周海, 袁中琴, 岑泳村, 陆彦霓, 姚志红, 周永春, 黄云超.  1635例食管癌患者生存分析的单中心回顾性研究, 昆明医科大学学报. 2024, 45(8): 67-73. doi: 10.12259/j.issn.2095-610X.S20240810
    [5] 邱柏宁, 王跃兵, 龙武, 位斯杰, 王蕊, 马琳, 习严梅, 唐雪, 雷普平.  云南省7个县村隐花青鹅膏的毒性差异研究, 昆明医科大学学报. 2024, 45(8): 145-153. doi: 10.12259/j.issn.2095-610X.S20240821
    [6] 张楠, 杨彦玲, 万青青, 赵江, 彭敏, 朱晓, 刘志涛, 张强.  云南6个特有少数民族成人维生素D营养状况分析, 昆明医科大学学报. 2024, 45(2): 105-111. doi: 10.12259/j.issn.2095-610X.S20240214
    [7] 阮元, 李娟娟, 杨彦玲, 万青青, 赵江, 张强, 刘志涛.  云南省特有少数民族具备的膳食营养知识素养分析, 昆明医科大学学报. 2024, 45(9): 24-29. doi: 10.12259/j.issn.2095-610X.S20240904
    [8] 杨亚玲, 李小菊, 张亚访, 王辛平, 黄源, 邵维庆, 邓睿.  云南省8个世居少数民族青年抑郁症状检出情况及影响因素研究, 昆明医科大学学报. 2023, 44(10): 100-106. doi: 10.12259/j.issn.2095-610X.S20231011
    [9] 杨雯, 颜芳, 康安琪, 王金蓉, 武子琰, 许传志, 夏永兵.  云南省独龙族居民酒精依赖现状及相关因素, 昆明医科大学学报. 2023, 44(5): 32-37. doi: 10.12259/j.issn.2095-610X.S20230513
    [10] 张强, 李娟娟, 万青青, 赵江, 杨彦玲, 阮元, 刘志涛.  云南特有少数民族成人维生素A营养状况分析, 昆明医科大学学报. 2022, 43(11): 30-35. doi: 10.12259/j.issn.2095-610X.S20221112
    [11] 莫怡, 李会芳, 左春梅, 李锦波, 申静蓉, 吴霞, 蔡乐.  云南省纳西族居民糖尿病患病、知晓、治疗和控制率的变化趋势研究, 昆明医科大学学报. 2022, 43(10): 16-21. doi: 10.12259/j.issn.2095-610X.S20221015
    [12] 张娴, 李艳红, 李燕, 赵琳, 田骏.  云南贫困少数民族地区婴幼儿微量元素锌、铁、铜与膳食营养的关系分析, 昆明医科大学学报. 2019, 40(01): 24-29.
    [13] 吴夕, 徐婷婷, 沈丽达, 谢琳, 胡凤娣, 龙庭凤, 董坚.  云南省贫困、偏远、少数民族聚集地区癌症相关危险因素现状调查, 昆明医科大学学报. 2019, 40(10): 77-80.
    [14] 赵江, 张强, 汤钦岚, 闵向东, 蔡同建, 刘志涛怒族居民慢性病知晓率、控制率及其相关行为生活方式, 昆明医科大学学报. 2018, 39(10): 28-32.
    [15] 孙瑜.  云南哈尼族寄宿制小学生饮食行为调查, 昆明医科大学学报. 2015, 36(11): -.
    [16] 李燕.  云南省助产士工作压力源的流行病学调查研究, 昆明医科大学学报. 2014, 35(09): -1.
    [17] 徐正英.  昆明医科大学护理本科生职业暴露情况的相关调查, 昆明医科大学学报. 2013, 34(10): -.
    [18] 苏云鹏.  大理地区3 461名大一新生艾滋病知识态度调查分析, 昆明医科大学学报. 2012, 33(01): -.
    [19] 马强.  云南保山7 岁以下汉族儿童地中海贫血与G6PD缺乏症流行病学调查, 昆明医科大学学报. 2012, 33(05): -.
    [20] 黄芩.  云南部分农村居民对健康相关问题关注度的现况调查, 昆明医科大学学报. 2010, 31(01): -.
  • 加载中
图(2) / 表(4)
计量
  • 文章访问数:  48
  • HTML全文浏览量:  32
  • PDF下载量:  16
  • 被引次数: 0
出版历程
  • 收稿日期:  2025-09-17
  • 网络出版日期:  2026-01-04

目录

    /

    返回文章
    返回