留言板

尊敬的读者、作者、审稿人, 关于本刊的投稿、审稿、编辑和出版的任何问题, 您可以本页添加留言。我们将尽快给您答复。谢谢您的支持!

姓名
邮箱
手机号码
标题
留言内容
验证码

miR-15a、miR-16-1联合MEG3在子宫内膜癌患者再复发评估中的价值

李照强 黄颖楠 杜俊英

李照强, 黄颖楠, 杜俊英. miR-15a、miR-16-1联合MEG3在子宫内膜癌患者再复发评估中的价值[J]. 昆明医科大学学报, 2026, 47(4): 138-146. doi: 10.12259/j.issn.2095-610X.S20260417
引用本文: 李照强, 黄颖楠, 杜俊英. miR-15a、miR-16-1联合MEG3在子宫内膜癌患者再复发评估中的价值[J]. 昆明医科大学学报, 2026, 47(4): 138-146. doi: 10.12259/j.issn.2095-610X.S20260417
Zhaoqiang LI, Yingnan HUANG, Junying DU. miR-15a and miR-16-1 Combined with MEG3 for Assessing Recurrence Risk in Endometrial Cancer Patients[J]. Journal of Kunming Medical University, 2026, 47(4): 138-146. doi: 10.12259/j.issn.2095-610X.S20260417
Citation: Zhaoqiang LI, Yingnan HUANG, Junying DU. miR-15a and miR-16-1 Combined with MEG3 for Assessing Recurrence Risk in Endometrial Cancer Patients[J]. Journal of Kunming Medical University, 2026, 47(4): 138-146. doi: 10.12259/j.issn.2095-610X.S20260417

miR-15a、miR-16-1联合MEG3在子宫内膜癌患者再复发评估中的价值

doi: 10.12259/j.issn.2095-610X.S20260417
基金项目: 铜川市重点研发计划项目(L2022ZDYFSF035)
详细信息
    作者简介:

    李照强(1982~),男,江苏沛县人,医学硕士,副主任医师,主要从事肿瘤病理研究工作

    通讯作者:

    黄颖楠,E-mail:hyn841216@163.com

  • 中图分类号: R737.33

miR-15a and miR-16-1 Combined with MEG3 for Assessing Recurrence Risk in Endometrial Cancer Patients

  • 摘要:   目的   探讨血清微小RNA(miR)-15a、miR-16-1联合母系表达基因3(maternally expressed gene 3,MEG3)在子宫内膜癌患者再复发评估中的价值。  方法   选取2019年3月至2024年7月至铜川市人民医院就诊的170例子宫内膜癌患者为患癌组,根据治疗后1年内有无复发分为复发组(n = 41)和未复发组(n = 129)。另选取170例同期至医院体检健康者为对照组。以RT-qPCR法检测血清中miR-15a、miR-16-1、MEG3的表达水平,比较对照组与患癌组、未复发组与复发组以及不同临床病理特征下的血清miR-15a、miR-16-1、MEG3水平。利用Lasso回归结合COX回归的方法,分析子宫内膜癌患者再复发的影响因素;采用ROC曲线、DCA曲线分析血清miR-15a、miR-16-1、MEG3的预测评估价值和临床应用价值;双荧光素酶报告基因实验验证MEG3与miR-15a、16-1的靶向关系。  结果   患癌组血清miR-15a、miR-16-1水平低于对照组,MEG3水平高于对照组(P < 0.05)。血清miR-15a、miR-16-1、MEG3水平与国际妇产科联盟(international federation of gynecology and obstetrics,FIGO)分期、组织学分级、肌层浸润深度、淋巴结转移有关,FIGO Ⅲ期、低分化肿瘤、深层肌层浸润、有淋巴结转移患者血清miR-15a、miR-16-1水平低于FIGO Ⅰ~Ⅱ期、中高分化肿瘤、浅层肌层浸润、无淋巴结转移患者(P < 0.05),MEG3水平高于FIGO Ⅰ~Ⅱ期、中高分化肿瘤、浅层肌层浸润、无淋巴结转移患者(P < 0.05)。复发组FIGO Ⅲ期、低分化、淋巴结转移比例及MEG3水平高于未复发组,miR-15a、miR-16-1水平低于未复发组(P < 0.05)。FIGO Ⅲ期、低分化肿瘤以及低水平miR-15a、低水平miR-16-1、高水平MEG3是影响子宫内膜癌患者再复发的危险因素(P < 0.05)。血清miR-15a、miR-16-1、MEG3单独检测预测再复发的AUC和临床净获益低于其三者联合(P < 0.05)。MEG3与miR-15a、miR-16-1存在直接靶向结合,共转染WT-MEG3与miR-15a、16-1模拟物后荧光素酶活性降低(P < 0.05)。  结论   子宫内膜癌患者血清miR-15a、miR-16-1低表达和MEG3高表达与患者再复发相关,MEG3可通过靶向吸附miR-15a、16-1调控其表达,联合检测血清miR-15a、miR-16-1和MEG3可提升对再复发的预测价值和效能。
  • 图  1  MEG3在癌组织与癌旁组织中的免疫组化图(×200)

    A:癌组织;B癌旁组织。

    Figure  1.  Immunohistochemistry of MEG3 in cancer tissue and adjacent tissues (×200)

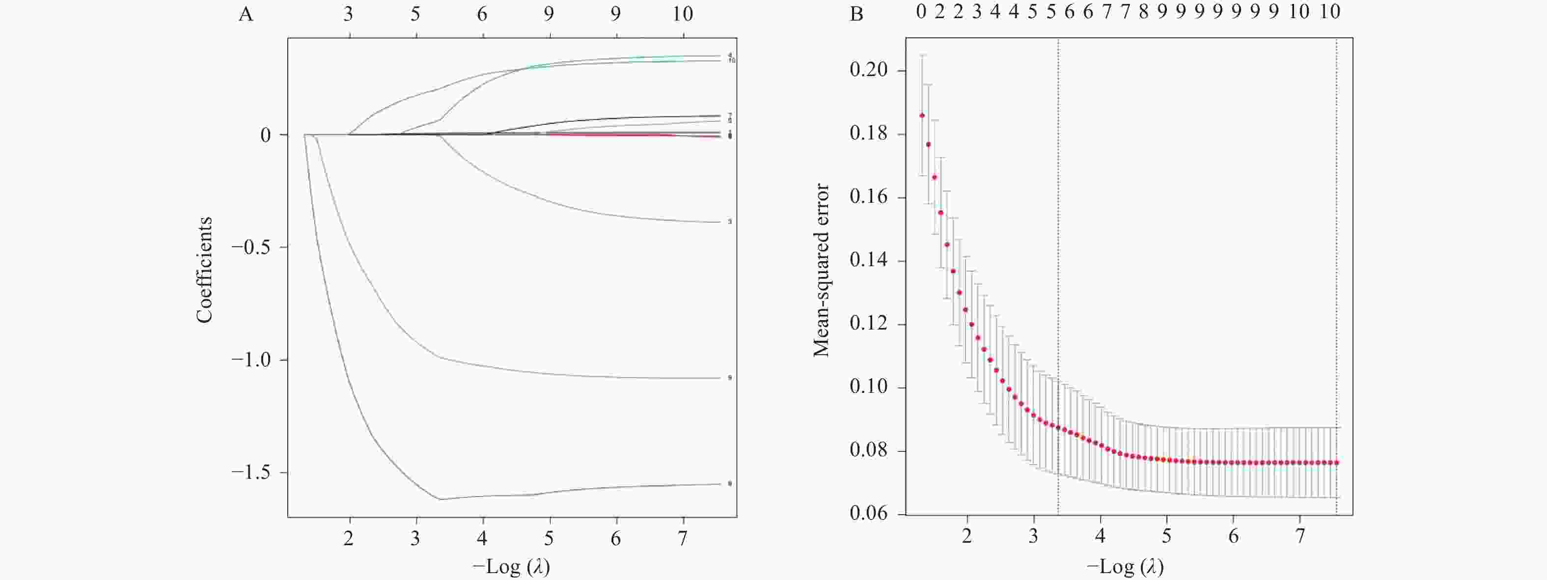
    图  2  Lasso回归分析示意图

    A:Lasso回归系数轨迹;B:十折交叉验证曲线;A图中各变量标准化回归系数随惩罚系数λ(lambda)增大而收缩的变化路径。每条曲线代表一个自变量,从左向右(λ增大)系数趋于零;曲线未收缩至零的变量即为Lasso筛选出的潜在影响因素;B图通过10折交叉验证确定最优λ值。两条虚线分别对应:lambda.min:交叉验证误差最小的λ值,对应最优预测精度。lambda.1se:误差在最小值一个标准误范围内的最大λ值,对应更简洁的变量集。

    Figure  2.  Schematic diagram of Lasso regression analysis

    图  3  血清miR-15a、miR-16-1、MEG3对再复发的预测评估价值

    Figure  3.  The predictive value of serum miR-15a,miR-16-1,and MEG3 for recurrence

    图  4  血清miR-15a、miR-16-1、MEG3预测再复发的临床价值

    Figure  4.  Clinical value of serum miR-15a,miR-16-1,and MEG3 in predicting recurrence

    图  5  MEG3与miR-15a、miR-16-1的潜在结合位点预测图

    Figure  5.  Prediction of potential binding sites between MEG3 and miR-15a,miR-16-1

    表  1  引物名称及序列

    Table  1.   Primer names and sequences

    基因 引物序列(5'-3')
    miR-15a 上游:5'-TGCGGTAGCAGCACATAATGG-3'
    下游:5'-CCAGTGCAGGGTCCGAGGT-3'
    miR-16-1 上游:5′-TGCGGCTAGCAGCACGTAAAT-3′
    下游:5′-CCAGTGCAGGGTCCGAGGT-3′
    MEG3 上游:5′-CTGGTGTTTGTGGTTTCTGG-3′
    下游:5′-AGGGAGAAGGAGAGGGAAAG-3′
    U6 上游:5'-CGCTTCGGCAGCACATATAC-3'
    下游:5'-AAATATGGAACGCTTCACGA-3'
    β-actin 上游:5'-CATGTACGTTGCTATCCAGGC-3'
    下游:5'-CTCCTTAATGTCACGCACGAT-3'
    下载: 导出CSV

    表  2  比较对照组、患癌组一般资料[($ \bar x \pm s $)/n(%)]

    Table  2.   General information of the control group and the cancer group [($ \bar x \pm s $)/n (%)]

    组别 年龄(岁) BMI(kg/m2 生产史 绝经
    对照组(n = 170) 52.16 ± 8.75 24.38 ± 2.49 25(14.71) 145(85.29) 127(74.71) 43(25.29)
    患癌组(n = 170) 52.58 ± 8.84 24.41 ± 2.53 31(18.24) 139(81.76) 113(66.47) 57(33.53)
    t/χ2 0.440 0.110 0.770 2.777
    P 0.660 0.912 0.380 0.096
    下载: 导出CSV

    表  3  比较对照组、患癌组血清miR-15a、miR-16-1、MEG3水平($ \bar x \pm s $)

    Table  3.   Comparison of serum miR-15a,miR-16-1,and MEG3 levels between the control group and the cancer group ($ \bar x \pm s $)

    组别 miR-15a miR-16-1 MEG3
    对照组(n = 170) 1.02 ± 0.13 1.01 ± 0.14 0.98 ± 0.12
    患癌组(n = 170) 0.55 ± 0.09 0.58 ± 0.11 1.72 ± 0.28
    t 38.757 31.489 31.672
    P < 0.001* < 0.001* < 0.001*
      *P < 0.05。
    下载: 导出CSV

    表  4  比较不同病理特征下的血清miR-15a、miR-16-1、MEG3水平($ \bar x \pm s $)

    Table  4.   Comparison of serum miR-15a,miR-16-1,and MEG3 levels with different pathological features ($ \bar x \pm s $)

    病理特征 n miR-15a t P miR-16-1 t P MEG3 t P
    年龄(岁) 1.448 0.149 1.185 0.238 1.370 0.173
     ≤53 92 0.54 ± 0.08 0.57 ± 0.10 1.69 ± 0.28
     > 53 78 0.56 ± 0.10 0.59 ± 0.12 1.75 ± 0.29
    FIGO分期(n 11.510 < 0.001* 8.533 < 0.001* 8.156 < 0.001*
     Ⅰ~Ⅱ期 113 0.61 ± 0.11 0.63 ± 0.11 1.60 ± 0.25
     Ⅲ期 57 0.43 ± 0.06 0.49 ± 0.08 1.97 ± 0.33
    组织学分级(n 7.838 < 0.001* 6.129 < 0.001* 5.947 < 0.001*
     中高分化 91 0.60 ± 0.10 0.62 ± 0.10 1.60 ± 0.26
     低分化 79 0.49 ± 0.08 0.53 ± 0.09 1.86 ± 0.31
    肌层浸润深度(n 5.360 < 0.001* 4.794 < 0.001* 5.717 < 0.001*
     浅层 75 0.59 ± 0.09 0.62 ± 0.10 1.58 ± 0.26
     深层 95 0.52 ± 0.08 0.55 ± 0.09 1.83 ± 0.30
    淋巴结转移(n 6.011 < 0.001* 5.849 < 0.001* 6.078 < 0.001*
     无 143 0.57 ± 0.09 0.60 ± 0.11 1.66 ± 0.28
     有 27 0.46 ± 0.07 0.47 ± 0.08 2.03 ± 0.34
      *P < 0.05。
    下载: 导出CSV

    表  5  比较未复发组、复发组临床资料[($\bar x \pm s $)/n(%)](1)

    Table  5.   Comparison of clinical data between the non-recurrence group and the recurrence group [($ \bar x \pm s $)/n (%)] (1)

    组别 年龄(岁) BMI(kg/m2 生产史
    未复发组(n = 129) 52.63 ± 8.81 24.35 ± 2.52 22(17.05) 107(82.95)
    复发组(n = 41) 52.44 ± 8.92 24.61 ± 2.56 9(21.95) 32(78.05)
    t/χ2 0.120 0.573 0.500
    P 0.905 0.567 0.479
    下载: 导出CSV

    5  比较未复发组、复发组临床资料[($ \bar x \pm s $)/n(%)](2)

    5.   Comparison of clinical data between the non-recurrence group and the recurrence group [($ \bar x \pm s $)/n (%)] (2)

    组别 绝经 FIGO分期
    Ⅰ~Ⅱ期 Ⅲ期
    未复发组(n = 129) 84(65.12) 45(34.88) 93(72.09) 36(27.91)
    复发组(n = 41) 29(70.73) 12(29.27) 20(48.78) 21(51.22)
    t/χ2 0.440 7.587
    P 0.507 0.006*
    下载: 导出CSV

    5  比较未复发组、复发组临床资料[($ \bar x \pm s $)/n(%)](3)

    5.   Comparison of clinical data between the non-recurrence group and the recurrence group [($ \bar x \pm s $)/n (%)] (3)

    组别 组织学分级 肌层浸润深度
    中高分化 低分化 浅层 深层
    未复发组(n = 129) 76(58.91) 53(41.09) 61(47.29) 68(52.71)
    复发组(n = 41) 15(36.59) 26(63.41) 14(34.15) 27(65.85)
    t/χ2 6.236 2.179
    P 0.013* 0.140
    下载: 导出CSV

    5  比较未复发组、复发组临床资料[($ \bar x \pm s $)/n(%)](4)

    5.   Comparison of clinical data between the non-recurrence group and the recurrence group [($ \bar x \pm s $)/n (%)] (4)

    组别 淋巴结转移 miR-15a miR-16-1 MEG3
    未复发组(n = 129) 114(88.37) 15(11.63) 0.58 ± 0.09 0.63 ± 0.12 1.62 ± 0.27
    复发组(n = 41) 29(70.73) 12(29.27) 0.45 ± 0.07 0.44 ± 0.07 2.05 ± 0.32
    t/χ2 7.247 8.465 9.619 8.484
    P 0.007* < 0.001* < 0.001* < 0.001*
      *P < 0.05。
    下载: 导出CSV

    表  6  子宫内膜癌患者再复发的多因素分析

    Table  6.   Multivariate analysis of recurrence in endometrial cancer patients

    影响因素 赋值 β SE Wald χ2 P HR 95%CI
    下限 上限
    FIGO分期 Ⅰ~Ⅱ期 = 0、Ⅲ期 = 1 1.117 0.197 32.174 < 0.001* 3.057 2.078 4.498
    组织学分级 中高分化 = 0、低分化 = 1 0.889 0.225 15.616 < 0.001* 2.433 1.565 3.782
    miR-15a 原值 −0.877 0.206 18.127 < 0.001* 0.416 0.278 0.623
    miR-16-1 −0.810 0.239 11.477 0.001* 0.445 0.279 0.711
    MEG3 1.140 0.218 27.365 < 0.001* 3.128 2.040 4.795
      *P < 0.05。
    下载: 导出CSV

    表  7  血清miR-15a、miR-16-1、MEG3对再复发的预测评估价值

    Table  7.   The predictive value of serum miR-15a,miR-16-1,and MEG3 for recurrence

    变量 AUC 截断值 95%CI 灵敏度(%) 特异度(%) Youden指数
    miR-15a 0.796 0.506 0.723~0.869 73.17 73.64 0.468
    miR-16-1 0.798 0.509 0.730~0.866 73.17 74.42 0.476
    MEG3 0.794 1.728 0.720~0.867 75.61 72.09 0.477
    联合 0.906 0.855~0.958 95.12 71.32 0.664
    下载: 导出CSV

    表  8  双荧光素酶报告基因实验结果($ \bar x \pm s$)

    Table  8.   Experimental results of dual luciferase reporter genes ($ \bar x \pm s $)

    转染组 相对荧光素酶活性(miR-15a结合验证) 相对荧光素酶活性(miR-16-1结合验证)
    WT-MEG3+NC mimics 1.00 ± 0.08 1.00 ± 0.09
    WT-MEG3+miRNA mimics 0.42 ± 0.05* 0.38 ± 0.04*
    MUT-MEG3+NC mimics 0.98 ± 0.07 0.97 ± 0.08
    MUT-MEG3+miRNA mimics 0.95 ± 0.06 0.93 ± 0.07
    F 53.718 49.638
    P < 0.001* < 0.001*
      与WT-MEG3+NC mimics相比,*P < 0.05。
    下载: 导出CSV
  • [1] Makker V, MacKay H, Ray-Coquard I, et al. Endometrial cancer[J]. Nat Rev Dis Primers, 2021, 7: 88. doi: 10.1038/s41572-021-00324-8
    [2] Galant N, Krawczyk P, Monist M, et al. Molecular classification of endometrial cancer and its impact on therapy selection[J]. Int J Mol Sci, 2024, 25(11): 5893. doi: 10.3390/ijms25115893
    [3] Karpel H, Slomovitz B, Coleman R L, et al. Biomarker-driven therapy in endometrial cancer[J]. Int J Gynecol Cancer, 2023, 33(3): 343-350. doi: 10.1136/ijgc-2022-003676
    [4] Volinsky-Fremond S, Horeweg N, Andani S, et al. Prediction of recurrence risk in endometrial cancer with multimodal deep learning[J]. Nat Med, 2024, 30(7): 1962-1973. doi: 10.1038/s41591-024-02993-w
    [5] Cao S Y, Fan Y, Zhang Y F, et al. Recurrence and survival of patients with stage III endometrial cancer after radical surgery followed by adjuvant chemo- or chemoradiotherapy: A systematic review and meta-analysis[J]. BMC Cancer, 2023, 23(1): 31. doi: 10.1186/s12885-022-10482-x
    [6] 高霞, 裴利花. 子宫内膜癌患者血清miR-326、miR-501的表达及与术后复发的相关性分析[J]. 中华内分泌外科杂志(中英文), 2025, 19(3): 429-433.
    [7] 李银玲, 熊冉冉, 徐剀. 血清miR-155、miR-24对早期子宫内膜癌腹腔镜根治术后复发转移的预测价值[J]. 海南医学, 2024, 35(22): 3209-3214.
    [8] Suri C, Swarnkar S, Bhaskar L, et al. Non-coding RNA as a biomarker in lung cancer[J]. Noncoding RNA, 2024, 10(5): 50. doi: 10.3390/ncrna10050050
    [9] Zhang R, Khare P, Banerjee P, et al. The DLEU2/miR-15a/miR-16-1 cluster shapes the immune microenvironment of chronic lymphocytic leukemia[J]. Blood Cancer J, 2024, 14(1): 168. doi: 10.1038/s41408-024-01142-3
    [10] Ghaffari M, Kalantar S M, Hemati M, et al. Co-delivery of miRNA-15a and miRNA-16–1 using cationic PEGylated niosomes downregulates Bcl-2 and induces apoptosis in prostate cancer cells[J]. Biotechnol Lett, 2021, 43(5): 981-994. doi: 10.1007/s10529-021-03085-2
    [11] Sun Y, Hao G, Zhuang M, et al. MEG3 LncRNA from exosomes released from cancer-associated fibroblasts enhances cisplatin chemoresistance in SCLC via a miR-15a-5p/CCNE1 axis[J]. Yonsei Med J, 2022, 63(3): 229-240. doi: 10.3349/ymj.2022.63.3.229
    [12] 周琦, 吴小华, 刘继红, 等. 子宫内膜癌诊断与治疗指南(第四版)[J]. 中国实用妇科与产科杂志, 2018, 34(8): 880-886. doi: 10.19401/j.cnki.1007-3639.2021.06.08
    [13] 王慧, 刘澈, 郑一頔. 血清C-C趋化因子配体20、微管解聚蛋白、热休克蛋白40与子宫内膜癌患者临床病理特征及术后复发转移的关系[J]. 转化医学杂志, 2024, 13(10): 1718-1722+1727. doi: 10.3639/i.issn.2095-3097.2024.10.035
    [14] Chen X, Chen S. LINC00649 promotes bladder cancer malignant progression by regulating the miR-15a-5p/HMGA1 axis[J]. Oncol Rep, 2021, 45(4): 8. doi: 10.3892/or.2021.7959
    [15] Ni Y, Yang Y, Ran J, et al. miR-15a-5p inhibits metastasis and lipid metabolism by suppressing histone acetylation in lung cancer[J]. Free Radic Biol Med, 2020, 161: 150-162. doi: 10.1016/j.freeradbiomed.2020.10.009
    [16] Chen L, Li W, Li Z, et al. circNUDT21 promotes bladder cancer progression by modulating the miR-16-1-3p/MDM2/p53 axis[J]. Mol Ther Nucleic Acids, 2021, 26: 625-636. doi: 10.1016/j.omtn.2021.08.032
  • [1] 马翠, 郑倩婧, 吴利军, 聂燕.  内镜下胃肠息肉摘除术后患者复发相关危险因素及其信息化层级管理模式干预措施, 昆明医科大学学报.
    [2] 董晓霞, 陈淑贤.  GPX4表达促进铁死亡参与子宫内膜癌恶性行为的机制, 昆明医科大学学报.
    [3] 李昊远, 黄明, 周劲梅, 花建杰, 吴起杰, 丁荣.  基于倾向性评分匹配比较不同影像技术引导下结直肠癌肝转移微波消融术后早期复发情况, 昆明医科大学学报.
    [4] 李骞, 冯朴琼, 姚勤, 陈寒梅, 赵婷, 吴晖.  阿司匹林单药抗血小板治疗的缺血性卒中患者复发危险因素分析, 昆明医科大学学报. doi: 10.12259/j.issn.2095-610X.S20240113
    [5] 崔培林, 宋玉霞, 王雪娟.  血清及组织miR-205预测卵巢型子宫内膜异位症术后复发价值, 昆明医科大学学报. doi: 10.12259/j.issn.2095-610X.S20241016
    [6] 张莺, 罗相如, 王星, 赵盼, 廉坤, 李元琴, 邵明琨.  基底膜蛋白表达对子宫内膜癌及其免疫浸润的关系分析, 昆明医科大学学报. doi: 10.12259/j.issn.2095-610X.S20241209
    [7] 张权昌, 吴乔联, 刘宇, 赵欣.  腹腔镜与开腹完全结肠系膜切除术对结肠癌患者血小板活化、并发症发生率及肿瘤复发的影响, 昆明医科大学学报. doi: 10.12259/j.issn.2095-610X.S20230919
    [8] 朱晓锋, 周广平, 王来藏, 周厚俊, 耿鑫, 余化霖, 李经辉, 白鹏.  复发脑胶质瘤再手术治疗的临床疗效, 昆明医科大学学报. doi: 10.12259/j.issn.2095-610X.S20220920
    [9] 李桂军, 文鹏, 黄丽霞, 向恋.  不同数学模型多b值DWI在预测子宫内膜癌淋巴血管侵犯中的能力, 昆明医科大学学报. doi: 10.12259/j.issn.2095-610X.S20220411
    [10] 张明雄, 张小文.  胆管空肠吻合术后肝胆管结石复发的危险因素, 昆明医科大学学报. doi: 10.12259/j.issn.2095-610X.S20210937
    [11] 杨静, 邓丹琪, 熊臻, 周晓鸿, 蔡梅.  皮肤恶性肿瘤术后复发病例临床分析, 昆明医科大学学报.
    [12] 苏旭, 钟卫华, 周贵.  智能医疗策略下子宫内膜癌患者术中冰冻切片MDT模式效果, 昆明医科大学学报.
    [13] 丁丽君, 田洁, 李晓兰.  LAPTM4B在子宫内膜癌组织中表达及临床意义, 昆明医科大学学报.
    [14] 陈鹏, 阳锡军, 李春满, 刘锋, 阿永俊.  槲皮素对裸鼠肝癌切除术后肿瘤复发的影响及机制, 昆明医科大学学报.
    [15] 党勇, 段钊.  CT联合MRI子宫内膜癌分期诊断与术后VEGF-C水平观察, 昆明医科大学学报.
    [16] 鲁晓东, 卢房利, 段钊, 杜联江.  TTF-1和PTEN基因在子宫内膜癌早期病变中的表达意义, 昆明医科大学学报.
    [17] 桂琦.  血清中脂肪因子Apelin、Vaspin、瘦素与子宫内膜癌的相关性, 昆明医科大学学报.
    [18] 李宏.  腹腔镜与开腹子宫肌瘤剔除术后肌瘤残留、复发及妊娠疗效的比较, 昆明医科大学学报.
    [19] 郭立民.  前臂缺血性肌挛缩术后复发2例报道, 昆明医科大学学报.
    [20] 赵维山.  无张力疝修补术治疗复发疝35例分析, 昆明医科大学学报.
  • 加载中
图(5) / 表(11)
计量
  • 文章访问数:  138
  • HTML全文浏览量:  131
  • PDF下载量:  64
  • 被引次数: 0
出版历程
  • 收稿日期:  2025-09-12
  • 网络出版日期:  2026-03-29
  • 刊出日期:  2026-04-28

目录

    /

    返回文章
    返回