留言板

尊敬的读者、作者、审稿人, 关于本刊的投稿、审稿、编辑和出版的任何问题, 您可以本页添加留言。我们将尽快给您答复。谢谢您的支持!

姓名
邮箱
手机号码
标题
留言内容
验证码

血清HSP27、CCL22、sTim-3对牙周炎预后的预测价值

赵瑛洁 高寒 郑奕琦 曹泱 刘欣

赵瑛洁, 高寒, 郑奕琦, 曹泱, 刘欣. 血清HSP27、CCL22、sTim-3对牙周炎预后的预测价值[J]. 昆明医科大学学报.
引用本文: 赵瑛洁, 高寒, 郑奕琦, 曹泱, 刘欣. 血清HSP27、CCL22、sTim-3对牙周炎预后的预测价值[J]. 昆明医科大学学报.
Yingjie ZHAO, Han GAO, Yiqi ZHENG, Yang CAO, Xin LIU. The Predictive Value of Serum HSP27,CCL22,sTim-3 for the Prognosis of Periodontitis[J]. Journal of Kunming Medical University.
Citation: Yingjie ZHAO, Han GAO, Yiqi ZHENG, Yang CAO, Xin LIU. The Predictive Value of Serum HSP27,CCL22,sTim-3 for the Prognosis of Periodontitis[J]. Journal of Kunming Medical University.

血清HSP27、CCL22、sTim-3对牙周炎预后的预测价值

基金项目: 北京市卫生科技发展专项基金(2022-1-165)
详细信息
    作者简介:

    赵瑛洁(1989~),女,北京人,医学学士,主治医师,主要从事口腔临床研究工作

    通讯作者:

    刘欣,E-mail:liuxin430350330@163.com

  • 中图分类号: R781.4+2

The Predictive Value of Serum HSP27,CCL22,sTim-3 for the Prognosis of Periodontitis

  • 摘要:   目的  探讨热休克蛋白27(heat shock protein 27,HSP27)、趋化因子配体22(CC chemokine receptor 1,CCR1)及可溶性T细胞免疫球蛋白粘蛋白分子-3(soluble T-cell immunoglobulin and mucin-domain containing-3,sTim-3)在牙周炎患者血清中的水平,分析其与牙周临床指标及预后的关联性,并检验三者及联合检测对预后的预测效能。  方法  选取2021年4月至2025年4月于北京航天总医院收治的422例牙周炎患者,并同期择取415名健康体检者构成对照组。收集两组基线及6个月随访时的血清和龈沟液(gingival crevicular fluid,GCF)样本,检测血清和GCF中HSP27、CCL22、sTim-3 水平,同时记录牙周出血指数(bleeding index,BI)、牙龈指数(gingival index,GI)、附着丧失(attachment loss,AL)、探诊深度(prob-ing depth,PD)。比较两组各指标水平差异,分析血清与GCF中HSP27、CCL22、sTim-3的相关性。比较不同预后牙周炎患者HSP27、CCL22、sTim-3的变化特点,绘制受试者工作特征(receiver operating characteristic,ROC)曲线并计算ROC曲线下面积(area under the curve,AUC)评估各指标变化值对预后不良的预测价值。  结果  牙周炎组基线及6个月随访时血清和 GCF 中 HSP27、CCL22、sTim-3 水平均显著高于健康组(P < 0.05);牙周炎组经6个月治疗后,上述血清及 GCF 指标水平均较基线显著下降(P < 0.05),健康组随访前后各指标的差异无统计学意义(P > 0.05)。Pearson 相关分析显示,牙周炎组患者血清与GCF中 HSP27、CCL22、sTim-3水平在基线及6个月随访时均呈显著正相关(P < 0.05)。预后不良组基线及6个月随访时血清 HSP27、CCL22、sTim-3水平均高于预后良好组,且治疗后指标变化值显著低于预后良好组(P < 0.05)。ROC 曲线分析显示,HSP27、CCL22、sTim-3 变化值对牙周炎患者预后不良均有良好预测价值,三者联合预测的AUC为0.925,显著高于单一指标(P < 0.05)。  结论  血清HSP27、CCL22和sTim-3是牙周炎预后的重要生物学标志物,三者联合检测对牙周炎患者的预后评估具有重要临床价值,为牙周炎的病情评估、预后预测及精准干预提供了新型生物学标志物与治疗靶点。
  • 图  1  预后不良的影响因素的LASSO筛选

    A:十折交叉验证曲线;B:LASSO回归系数路径图。

    Figure  1.  LASSO screening of factors affecting poor prognosis

    图  2  血清HSP27、CCL22、sTim-3变化值对预后不良的预测效能

    Figure  2.  Predictive efficacy of changes in serum HSP27,CCL22,and sTim-3 for poor prognosis

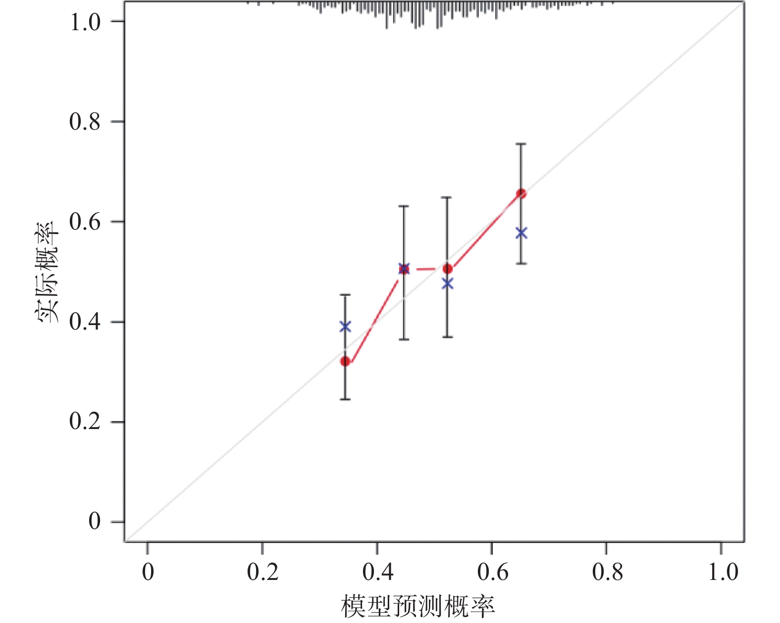
    图  3  联合模型的校准曲线

    Figure  3.  Calibration curve of the joint model

    表  1  牙周炎患者和健康者基线资料比较[($\bar x \pm s $)/n(%)]

    Table  1.   Comparison of baseline data between periodontitis patients and healthy individuals[($\bar x \pm s $)/n(%)]

    项目 牙周炎组(n=422) 健康组(n=415) t/χ2 P
    年龄(岁) 45.63 ± 6.82 44.97 ± 7.15 1.367 0.172
    性别 0.104 0.747
     男 218(51.66) 219(52.77)
     女 204(48.34) 196(47.23)
    BMI(kg/m2 23.87 ± 3.26 24.05 ± 3.41 0.781 0.435
    吸烟史 0.535 0.465
     有 137(32.46) 125(30.12)
     无 285(67.54) 290(69.88)
    饮酒史 0.068 0.795
     有 158(37.44) 159(38.31)
     无 264(62.56) 256(61.69)
    刷牙次数(次) 0.599 0.439
     <2 183(43.36) 191(46.02)
     ≥2 239(56.64) 224(53.98)
    下载: 导出CSV

    表  2  牙周炎患者和健康者血清指标比较($\bar x \pm s $)

    Table  2.   Comparison of serum indicators between periodontitis patients and healthy individuals($\bar x \pm s $)

    项目 牙周炎组(n=422) 健康组(n=415) t P
    HSP27(ng/mL)
     基线 5.92 ± 1.83 4.35 ± 1.67 12.959 <0.001*
     6个月随访 4.87 ± 1.65# 4.32 ± 1.66 4.807 <0.001*
     △值 1.05 ± 0.32 0.03 ± 0.01 64.903 <0.001*
    CCL22(pg/mL)
     基线 785.41 ± 52.36 691.58 ± 45.29 27.709 <0.001*
     6个月随访 712.36 ± 48.92# 690.24 ± 44.97 6.151 <0.001*
     △值 73.05 ± 14.34 1.24 ± 0.32 101.988 <0.001*
    sTim-3(pg/mL)
     基线 325.74 ± 38.65 128.92 ± 22.41 89.932 <0.001*
     6个月随访 285.42 ± 35.21# 129.05 ± 22.37 76.545 <0.001*
     △值 40.32 ± 12.73 0.13 ± 0.04 64.314 <0.001*
      *P < 0.05;与基线比较,#P < 0.05。
    下载: 导出CSV

    表  3  牙周炎患者和健康者GCF中HSP27、CCL22、sTim-3比较($\bar x \pm s $)

    Table  3.   Comparison of HSP27,CCL22,sTim-3 in GCF between periodontitis patients and healthy individuals($\bar x \pm s $)

    项目 牙周炎组(n=422) 健康组(n=415) t P
    HSP27(ng/mL)
     基线 8.42 ± 2.15 2.15 ± 0.68 56.686 <0.001*
     6个月随访 5.21 ± 1.64# 2.19 ± 0.69 34.621 <0.001*
     △值 3.21 ± 0.52 0.04 ± 0.01 124.164 <0.001*
    CCL22(pg/mL)
     基线 1256.34 ± 168.27 312.45 ± 45.33 110.399 <0.001*
     6个月随访 892.47 ± 132.56# 308.92 ± 44.15 85.154 <0.001*
     △值 363.87 ± 35.71 3.53 ± 1.05 18.246 <0.001*
    sTim-3(pg/mL)
     基线 488.63 ± 75.42 85.24 ± 19.36 105.591 <0.001*
     6个月随访 345.28 ± 62.33# 86.01 ± 19.23 81.030 <0.001*
     △值 143.35 ± 13.09 0.77 ± 0.13 221.880 <0.001*
      *P < 0.05;与基线比较,#P < 0.05。
    下载: 导出CSV

    表  4  血清与GCF中HSP27、CCL22、sTim-3的相关性

    Table  4.   Correlation between Serum and GCF levels of HSP27,CCL22,and sTim-3

    指标 时间 r P
    HSP27 基线 0.712 <0.001*
    6个月随访 0.685 <0.001*
    CCL22 基线 0.689 <0.001*
    6个月随访 0.662 <0.001*
    sTim-3 基线 0.674 <0.001*
    6个月随访 0.648 <0.001*
      *P < 0.05。
    下载: 导出CSV

    表  5  牙周炎患者和健康者牙周指标比较($\bar x \pm s $)

    Table  5.   Comparison of periodontal indicators between periodontitis patients and healthy individuals ($\bar x \pm s $)

    项目牙周炎组(n=422)健康组(n=415)tP
    BI
     基线3.12 ± 0.860.45 ± 0.1462.438<0.001*
     6个月随访1.68 ± 0.35#0.47 ± 0.1366.086<0.001*
     △值1.44 ± 0.600.03 ± 0.0147.866<0.001*
    GI
     基线1.97 ± 0.420.51 ± 0.1546.648<0.001*
     6个月随访1.32 ± 0.23#0.53 ± 0.1459.904<0.001*
     △值0.65 ± 0.210.02 ± 0.0161.046<0.001*
    AL(mm)
     基线4.13 ± 0.980.23 ± 0.0481.419<0.001*
     6个月随访3.85 ± 0.91#0.21 ± 0.0481.408<0.001*
     △值0.28 ± 0.070.02 ± 0.0174.917<0.001*
    PD(mm)
     基线6.47 ± 1.851.68 ± 0.3251.986<0.001*
     6个月随访3.45 ± 1.12#1.66 ± 0.3131.397<0.001*
     △值3.02 ± 0.730.02 ± 0.0183.710<0.001*
      *P < 0.05;与基线比较,#P < 0.05。
    下载: 导出CSV

    表  6  预后良好组和预后不良组基线资料比较[($\bar x \pm s $)/n(%)]

    Table  6.   Comparison of baseline data between good prognosis group and poor prognosis group[($\bar x \pm s $)/n(%)]

    项目 预后不良组(n=158) 预后良好组(n=264) t/χ2 P
    年龄(岁) 45.75 ± 7.63 45.42 ± 7.15 0.447 0.655
    性别 0.077 0.781
     男 83(52.53) 135(51.14)
     女 75(47.47) 129(48.86)
    BMI(kg/m2 23.93 ± 3.58 23.72 ± 3.15 0.629 0.529
    吸烟史 0.023 0.879
     有 52(32.91) 85(32.20)
     无 106(67.09) 179(67.80)
    饮酒史 1.475 0.225
     有 65(41.14) 93(35.23)
     无 93(58.86) 171(64.77)
    刷牙次数(次) 0.509 0.475
     <2 65(41.14) 118(44.70)
     ≥2 93(58.86) 146(55.30)
    基线BI 3.15 ± 0.91 3.08 ± 0.78 0.837 0.403
    基线GI 2.01 ± 0.58 1.92 ± 0.45 1.780 0.076
    基线AL(mm) 4.65 ± 1.12 3.82 ± 0.85 8.441 <0.001*
    基线PD(mm) 7.12 ± 2.01 6.08 ± 1.68 5.987 <0.001*
      *P < 0.05。
    下载: 导出CSV

    表  7  预后良好组和预后不良组血清HSP27、CCL22、sTim-3比较($\bar x \pm s $)

    Table  7.   Comparison of serum HSP27,CCL22,and sTim-3 levels between the good prognosis group and the poor prognosis group($\bar x \pm s $)

    项目 预后不良组(n=158) 预后良好组(n=264) t P
    HSP27(ng/mL)
     基线 6.46 ± 1.51 5.58 ± 1.62 6.606 <0.001*
     6个月随访 5.73 ± 1.32 3.82 ± 1.25 17.990 <0.001*
     △值 0.73 ± 0.19 1.76 ± 0.37 32.510 <0.001*
    CCL22(pg/mL)
     基线 792.63 ± 68.74 749.58 ± 46.35 7.673 <0.001*
     6个月随访 745.17 ± 65.42 665.31 ± 41.28 15.375 <0.001*
     △值 47.46 ± 8.92 84.27 ± 13.65 30.244 <0.001*
    sTim-3(pg/mL)
     基线 348.45 ± 95.21 292.36 ± 78.47 6.552 <0.001*
     6个月随访 309.82 ± 91.76 198.65 ± 52.51 15.831 <0.001*
     △值 38.63 ± 7.45 93.71 ± 25.96 26.025 <0.001*
      *P < 0.05;与基线比较,#P < 0.05。
    下载: 导出CSV

    表  8  血清HSP27、CCL22、sTim-3变化值对预后不良的预测效能

    Table  8.   Predictive efficacy of changes in serum HSP27,CCL22,and sTim-3 for poor prognosis

    指标敏感度(%)特异度(%)准确度(%)AUC95%CIYouden指数最佳截断值
    △HSP2778.7574.5577.360.8110.742~0.8790.5510.92 ng/mL
    △CCL2279.3575.3877.140.8230.755~0.8900.58367.38 pg/mL
    △sTim-375.3474.9873.820.7990.728~0.8700.51556.24 pg/mL
    三者联合模型84.2687.4786.210.9250.884~0.9660.7800.436
    下载: 导出CSV
  • [1] Trindade D, Carvalho R, Machado V, et al. Prevalence of periodontitis in dentate people between 2011 and 2020: A systematic review and meta-analysis of epidemiological studies[J]. J Clin Periodontol, 2023, 50(5): 604-626. doi: 10.1111/jcpe.13769
    [2] Walther K A, Gröger S, Vogler J A H, et al. Inflammation indices in association with periodontitis and cancer[J]. Periodontol 2000, 2024, 96(1): 281-315.
    [3] Mendonça C D, Mata A D S P, Azevedo L F R, et al. Probiotics in the non-surgical treatment of periodontitis: A systematic review and network meta-analysis[J]. BMC Oral Health, 2024, 24(1): 1224. doi: 10.1186/s12903-024-05027-6
    [4] 李超, 徐紫薇, 张璇, 等. 血清CCL21、CYTL-1水平与慢性牙周炎患者牙龈卟啉单胞菌感染及牙周临床指标的相关性[J]. 标记免疫分析与临床, 2024, 31(2): 264-269. doi: 10.11748/bjmy.issn.1006-1703.2024.02.014
    [5] Boyd R A, Majumder S, Stiban J, et al. The heat shock protein Hsp27 controls mitochondrial function by modulating ceramide generation[J]. Cell Rep, 2023, 42(9): 113081. doi: 10.1016/j.celrep.2023.113081
    [6] Zou S, Liu B, Feng Y. CCL17, CCL22 and their receptor CCR4 in hematologic malignancies[J]. Discov Oncol, 2024, 15(1): 412. doi: 10.1007/s12672-024-01210-x
    [7] Chen C, Zhao F, Peng J, et al. Soluble Tim-3 serves as a tumor prognostic marker and therapeutic target for CD8+ T cell exhaustion and anti-PD-1 resistance[J]. Cell Rep Med, 2024, 5(8): 101686. doi: 10.1016/j.xcrm.2024.101686
    [8] 中华口腔医学会牙周病学专业委员会. 重度牙周炎诊断标准及特殊人群牙周病治疗原则的中国专家共识[J]. 中华口腔医学杂志, 2017, 52(2): 67-71.
    [9] 李黎, 徐邦勇, 高珺, 等. 米诺环素对固定义齿修复后继发牙周炎的临床疗效[J]. 昆明医科大学学报, 2017, 38(3): 75-78.
    [10] Chapple I L C, Mealey B L, Van Dyke T E, et al. Periodontal health and gingival diseases and conditions on an intact and a reduced periodontium: Consensus report of workgroup 1 of the 2017 World Workshop on the Classification of Periodontal and Peri-Implant Diseases and Conditions[J]. J Periodontol, 2018, 89(Suppl 1): S74-S84. doi: 10.1002/JPER.17-0719
    [11] Linden G J, Lyons A, Scannapieco F A. Periodontal systemic associations: Review of the evidence[J]. J Periodontol, 2013, 84(4 Suppl): S8-S19. doi: 10.1902/jop.2013.1340010
    [12] Tonetti M S, Greenwell H, Kornman K S. Staging and grading of periodontitis: Framework and proposal of a new classification and case definition[J]. J Periodontol, 2018, 89(Suppl 1): S159-S172. doi: 10.1002/JPER.18-0006
    [13] Cortellini P, Cortellini S, Bonaccini D, et al. Modified minimally invasive surgical technique in human intrabony defects with or without regenerative materials-10-year follow-up of a randomized clinical trial: Tooth retention, periodontitis recurrence, and costs[J]. J Clin Periodontol, 2022, 49(6): 528-536. doi: 10.1111/jcpe.13627
    [14] 姜文心, 夏晨蕾, 丁弦, 等. 牙周-正畸联合治疗对侵袭性牙周炎患者牙周功能和龈沟液TSLP、IL-33的影响及其预后的影响因素研究[J]. 现代生物医学进展, 2022, 22(20): 3972-3976+3981. doi: 10.13241/j.cnki.pmb.2022.20.034
    [15] 张婧, 汪静. 慢性牙周炎患者龈沟液LF、Shh蛋白、TREM-1水平与牙周临床指标和炎性因子的相关性研究[J]. 检验医学与临床, 2023, 20(13): 1859-1863. doi: 10.3969/j.issn.1672-9455.2023.13.008
    [16] Eickholz P, Schröder M, Asendorf A, et al. Effect of nonsurgical periodontal therapy on haematological parameters in grades B and C periodontitis: An exploratory analysis[J]. Clin Oral Investig, 2020, 24(12): 4291-4299. doi: 10.1007/s00784-020-03292-7
    [17] Uttamani J R, Kulkarni V, Valverde A, et al. Dynamic changes in macrophage polarization during the resolution phase of periodontal disease[J]. Immun Inflamm Dis, 2024, 12(10): e70044. doi: 10.1002/iid3.70044
    [18] Moore T C, Pinkerton T S, Petro T M. IRF3 promotes production of IL-6 and nitric oxide but represses CCL22 in RAW264.7 macrophage cells exposed to lipopolysaccharides in culture[J]. J Inflamm Res, 2025, 18: 1255-1265. doi: 10.2147/JIR.S496930
    [19] Grossman T B, Minis E, Loeb-Zeitlin S E, et al. Soluble T cell immunoglobulin mucin domain 3 (sTim-3) in maternal sera: A potential contributor to immune regulation during pregnancy[J]. J Matern Fetal Neonatal Med, 2021, 34(24): 4119-4122. doi: 10.1080/14767058.2019.1706471
    [20] 姜文心, 夏晨蕾, 丁弦, 等. 牙周-正畸联合治疗对侵袭性牙周炎患者牙周功能和龈沟液TSLP、IL-33的影响及其预后的影响因素研究[J]. 现代生物医学进展, 2022, 22(20): 3972-3976+3981. doi: 10.13241/j.cnki.pmb.2022.20.034
    [21] Schröder A, Wagner K, Cieplik F, et al. Impact of phosphorylation of heat shock protein 27 on the expression profile of periodontal ligament fibroblasts during mechanical strain[J]. J Orofac Orthop, 2023, 84(Suppl 2): 143-153.
    [22] Chen L, Qin Y, Lin B, et al. Clinical value of the sTim-3 level in chronic kidney disease[J]. Exp Ther Med, 2022, 24(4): 606. doi: 10.3892/etm.2022.11543
  • [1] 王晓健, 刘俊平, 张迪, 郭谦.  外周血单个核细胞miR-155、miR-146a联合预测尿毒症维持性血液透析患者预后不良风险的价值, 昆明医科大学学报. 2026, 47(4): 1-9.
    [2] 李杨, 江文, 刘容, 刘朝敏, 徐龙玉, 张文静.  基于生物信息学识别与肺癌患者预后和免疫微环境相关的铜死亡基因, 昆明医科大学学报. 2025, 46(4): 29-35. doi: 10.12259/j.issn.2095-610X.S20250405
    [3] 王左华, 伍荣凤, 张晓燕, 王惠萍.  血清IL-27、CysC、GAPDH抗体与视神经脊髓炎谱系疾病患儿病情程度的关系及对预后的影响, 昆明医科大学学报. 2025, 46(7): 146-154. doi: 10.12259/j.issn.2095-610X.S20250718
    [4] 谢智, 杨浪, 张小龙.  基于全身免疫炎症指数和铁蛋白表达探讨胃癌临床病理和预后, 昆明医科大学学报. 2025, 46(9): 129-136. doi: 10.12259/j.issn.2095-610X.S20250915
    [5] 黄燕飞, 于鸿滨, 殷凌云, 梁婧, 李昌全, 李德宏, 王金缘, 欧阳骞.  NFE2L2/KEAP1在牙周炎中对细胞成骨分化的调控机制, 昆明医科大学学报. 2025, 46(7): 26-37. doi: 10.12259/j.issn.2095-610X.S20250704
    [6] 刘春艳, 常炳庆, 李超, 任欣, 刘小琴.  T淋巴细胞亚群与急性髓系白血病病理特征的关系及预测化疗预后的价值分析, 昆明医科大学学报. 2024, 45(5): 116-122. doi: 10.12259/j.issn.2095-610X.S20240518
    [7] 聂琪, 刘莉, 田玥, 毛晓燕, 郭渠莲, 田新.  儿童急性B淋巴细胞白血病ACTH异常临床特征与预后分析, 昆明医科大学学报. 2024, 45(10): 75-84. doi: 10.12259/j.issn.2095-610X.S20241012
    [8] 赵丽珠, 董莹, 邓玥, 杨丽华.  基于单细胞测序技术分析上皮细胞相关基因与卵巢癌患者预后的关系, 昆明医科大学学报. 2024, 45(4): 9-16. doi: 10.12259/j.issn.2095-610X.S20240402
    [9] 杨莉莉, 周婷, 任晓斌, 吴剑花, 彭艺, 税艳青.  牙周正畸联合治疗慢性牙周炎的前瞻性临床研究, 昆明医科大学学报. 2024, 45(3): 54-58. doi: 10.12259/j.issn.2095-610X.S20240308
    [10] 张瑞婷, 阎斌, 李祖燕, 孙金敏, 姚锦.  诱导化疗时外周血原始细胞清除时间和初诊时白蛋白水平与急性髓系白血病患者基因突变及预后之间的关系, 昆明医科大学学报. 2024, 45(8): 117-124. doi: 10.12259/j.issn.2095-610X.S20240817
    [11] 门欣怡, 赵静, 申永椿, 季辉, 王秀霞.  外周血免疫球蛋白、血沉、同型半胱氨酸与儿童中枢神经系统血管炎病情程度的关系及对预后的影响, 昆明医科大学学报. 2024, 45(12): 122-128. doi: 10.12259/j.issn.2095-610X.S20241217
    [12] 詹乐, 马瑞堉, 万妮, 莫礼文, 陈荟颖, 张黎.  葛根素对牙周炎大鼠Th17/Treg细胞免疫平衡及相关转录因子表达的影响, 昆明医科大学学报. 2022, 43(11): 36-43. doi: 10.12259/j.issn.2095-610X.S20221129
    [13] 郑旭, 谢琛, 付娆, 吴育志, 郭竹玲.  2型糖尿病患者及内分泌医生对牙周炎与糖尿病相关性认知调查, 昆明医科大学学报. 2021, 42(3): 89-93. doi: 10.12259/j.issn.2095-610X.S20210323
    [14] 毕珊, 罗浩丹, 陈绍春, 李国萍.  磷酸化HSP27在恶性肿瘤中的研究进展, 昆明医科大学学报. 2020, 41(07): 165-169.
    [15] 苏建培, 田伟盟, 顾俊, 何弥玉.  C反应蛋白/白蛋白比值与老年心力衰竭患者长期预后的关系, 昆明医科大学学报. 2020, 41(12): 128-132. doi: 10.12259/j.issn.2095-610X.S20201236
    [16] 吴文娟.  心肌脂肪酸结合蛋白联合简化肺栓塞严重指数对急性肺栓塞短期预后的评估, 昆明医科大学学报. 2016, 37(01): -.
    [17] 王祥芸.  牙周基础治疗对2型糖尿病伴牙周炎与超敏C-反应蛋白的影响, 昆明医科大学学报. 2015, 36(02): -1.
    [18] 许建新.  uPA、PAI-1蛋白在大肠癌中的表达及其与预后的关系, 昆明医科大学学报. 2014, 35(05): -.
    [19] 张艺凡.  派力奥软膏辅助治疗成人重度牙周炎的临床观察, 昆明医科大学学报. 2013, 34(10): -.
    [20] 刘健刚.  趋化因子受体CXCR4在颅咽管瘤中的表达及其与预后的关系, 昆明医科大学学报. 2012, 33(06): -.
  • 加载中
图(3) / 表(8)
计量
  • 文章访问数:  87
  • HTML全文浏览量:  53
  • PDF下载量:  20
  • 被引次数: 0
出版历程
  • 收稿日期:  2025-11-18

目录

    /

    返回文章
    返回