留言板

尊敬的读者、作者、审稿人, 关于本刊的投稿、审稿、编辑和出版的任何问题, 您可以本页添加留言。我们将尽快给您答复。谢谢您的支持!

姓名
邮箱
手机号码
标题
留言内容
验证码

TRIM47通过TAB1/IκB炎症信号通路参与急性肺损伤的机制

欧阳运萍 陈涛 李鹏 赵博 杨小军

欧阳运萍, 陈涛, 李鹏, 赵博, 杨小军. TRIM47通过TAB1/IκB炎症信号通路参与急性肺损伤的机制[J]. 昆明医科大学学报.
引用本文: 欧阳运萍, 陈涛, 李鹏, 赵博, 杨小军. TRIM47通过TAB1/IκB炎症信号通路参与急性肺损伤的机制[J]. 昆明医科大学学报.
Yunping OUYANG, Tao CHEN, Peng LI, Bo ZHAO, Xiaojun YANG. Study on the Mechanism of Trim47 in Acute Lung Injury via TAB1/I κB Inflammatory Signaling Pathway[J]. Journal of Kunming Medical University.
Citation: Yunping OUYANG, Tao CHEN, Peng LI, Bo ZHAO, Xiaojun YANG. Study on the Mechanism of Trim47 in Acute Lung Injury via TAB1/I κB Inflammatory Signaling Pathway[J]. Journal of Kunming Medical University.

TRIM47通过TAB1/IκB炎症信号通路参与急性肺损伤的机制

基金项目: 河北省医学科研科学课题(20221834)
详细信息
    作者简介:

    欧阳运萍(1985~),女,河北唐山人,医学学士,主治医师,主要从事急性肺损伤研究工作

    通讯作者:

    杨小军,E-mail:flyyv008@163.com

  • 中图分类号: R563;R332

Study on the Mechanism of Trim47 in Acute Lung Injury via TAB1/I κB Inflammatory Signaling Pathway

  • 摘要:   目的  探讨Tripartite结构蛋白47(tripartite motif containing 47,TRIM47)对急性肺损伤急性肺损伤(acute lung injury,ALI)大鼠模型肺组织的影响以及对转化生长因子β激活激酶1(TGF-beta activated kinase 1,TAB1)/核因子κB抑制蛋白(inhibitor of NF-κB,IκB)调控机制。  方法  构建SD大鼠ALI模型,模型组、空载体组(NC)组及si-TRIM47组诱导建立大鼠ALI模型,NC组与si-TRIM47组于建模后经尾静脉分别注射NC质粒及靶向TRIM47的siRNA干扰质粒(si-TRIM47)。干预1周后,通过苏木精-伊红(HE)染色观察各组肺组织病理学改变,ELISA检测外周血白细胞介素(Interleukin,IL)-1、IL-6、IL-10、IL-1β、肿瘤坏死因子(tumor necrosis factor,TNF-α)的表达水平,qPCR测定肺组织中TAB1及IκB的mRNA相对表达量,Western blot分析肺组织中TAB1与IκB蛋白表达水平,同时检测NF-κB入核情况;CO-IP检测TRIM47和TAB1蛋白结合情况。  结果  HE染色结果显示,与对照组相比,模型组和NC组的组织炎性细胞浸润程度升高(P < 0.05);与模型组和NC组相比,si-TRIM47组的病理病变程度则相对较轻。ELISA检测结果显示,与对照组相比,模型组IL-1、IL-6、IL-1β、TNF-α升高(P < 0.01)。与模型组和NC组相比,si-TRIM47组大鼠的IL-1、IL-6、IL-1β、TNF-α降低,而IL-10升高(P < 0.01);qPCR和Western blot结果表明,与对照组相比,模型组、NC组大鼠TAB1和核蛋白NF-κB升高、IκB表达水平降低(P < 0.01);与模型组和NC组相比,si-TRIM47组TAB1降低和核蛋白NF-κB降低、IκB表达水平升高(P < 0.01)。此外,CO-IP实验显示,TRIM47促进TAB1蛋白表达。  结论  si-TRIM47可能通过抑制炎症因子释放及TAB1信号通路的激活,对ALI大鼠发挥保护作用。
  • 图  1  si-TRIM47干预对大鼠ALI病理学的影响(200×)(n = 3)

    Figure  1.  Effect of si-TRIM47 intervention on rat ALI pathology (200×) (n = 3)

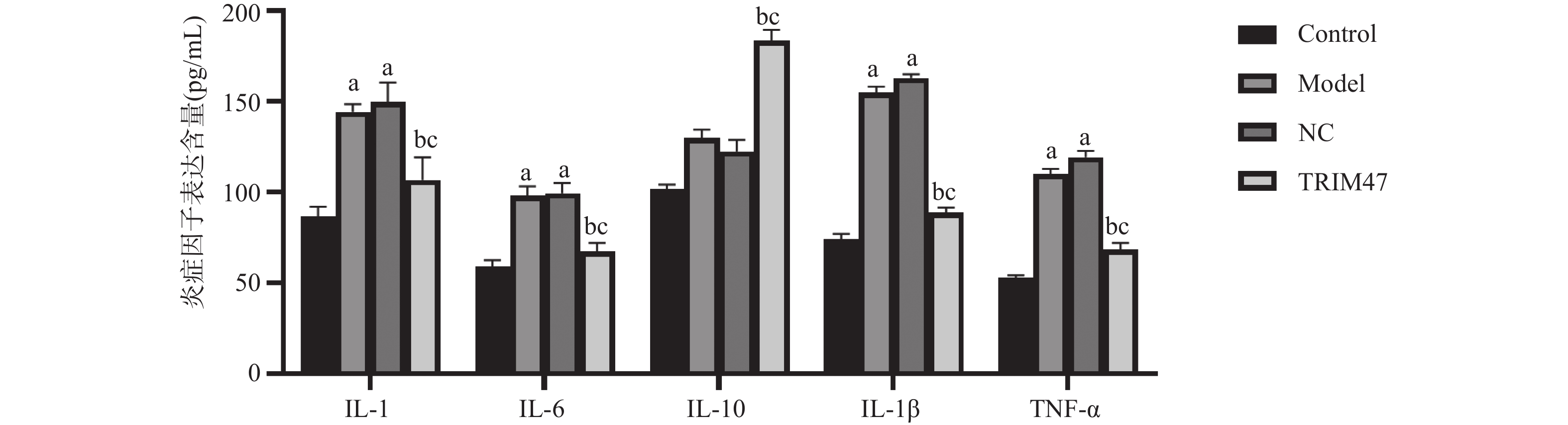
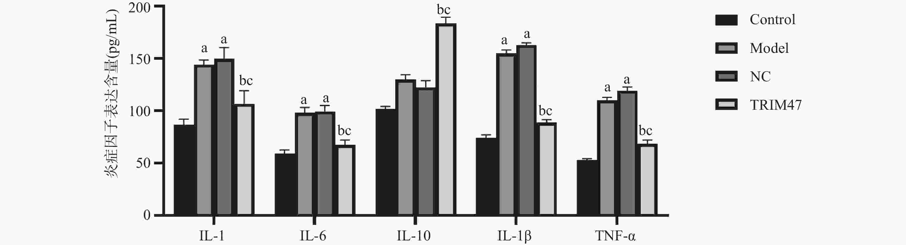
    图  2  各组大鼠IL-1、IL-6、IL-10炎症因子表达比较($\bar x \pm s $,n = 15)

    aP < 0.01 vs Control组;bP < 0.01 vs Model组;cP < 0.01 vs NC组。

    Figure  2.  Comparison of inflammatory factor of IL-1、IL-6、IL-10 expressions among different groups of ($\bar x \pm s $,n = 15)

    图  3  si-TRIM47对ALI大鼠TAB1和IκB基因mRNA表达的影响 ($\bar x \pm s $,n = 3)

    aP < 0.01 vs Control组;bP < 0.01 vs Model组;cP < 0.01 vs NC组。

    Figure  3.  Effect of si-TRIM47 on the mRNA expression of TAB1 and IκB genes in ALI rats ($\bar x \pm s $,n = 3)

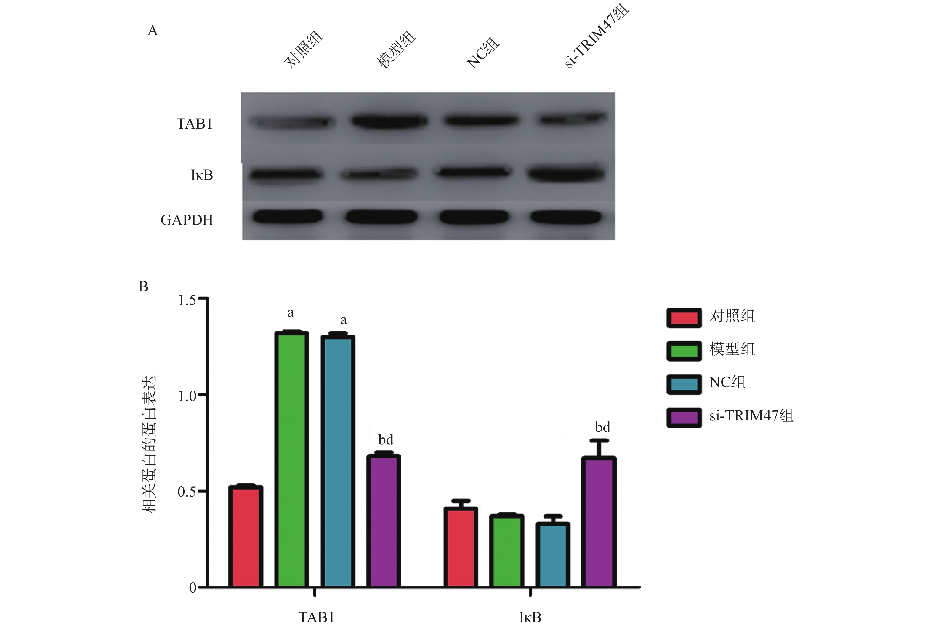
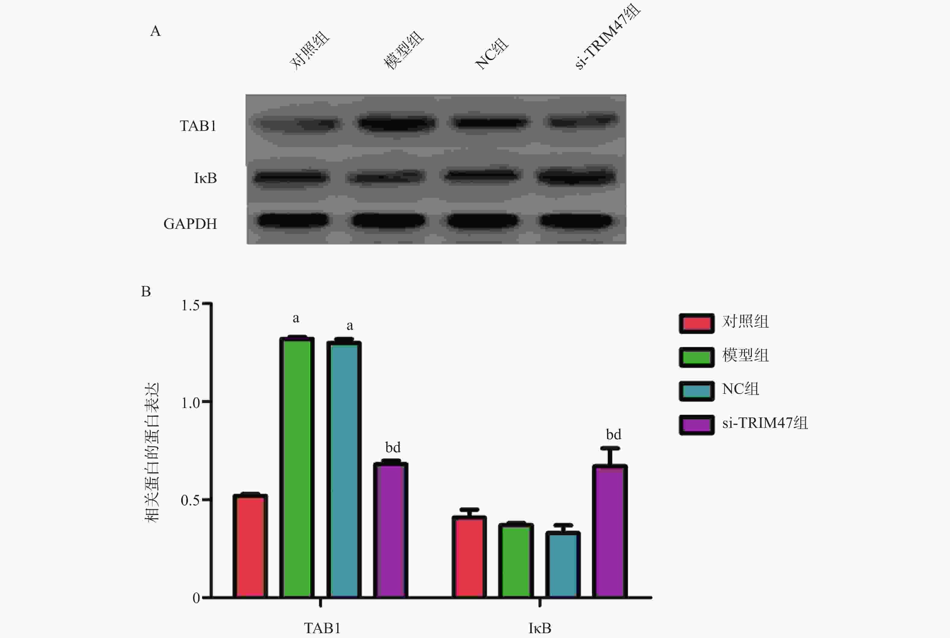
    图  4  si-TRIM47对ALI大鼠TAB1和IκB蛋白表达的影响 ($\bar x \pm s $,n = 3)

    A:TAB1和IKB蛋白条带图;B:TAB1和IKB蛋白统计学分析图;aP < 0.01 vs Control组;bP < 0.01 vs Model组;cP < 0.01 vs NC组。              

    Figure  4.  Effect of si-TRIM47 on the protein expression of TAB1 and IκB in ALI rats ($\bar x \pm s $,n = 3)

    图  5  si-TRIM47靶向抑制TAB1抑制NF-κB入核($\bar x \pm s $,n = 3)

    A:TAB1和TRIM47 CO-IP图;B:NF-κB入核蛋白条带图;C:NF-κB蛋白的统计学分析;aP < 0.01 vs Control组;bP < 0.01 vs Model组;cP < 0.01 vs NC组。

    Figure  5.  si-TRIM47 targets and inhibits TAB1 to suppress NF-κB nuclear translocation ($\bar x \pm s $,n = 3)

    表  1  qPCR检测中不同基因的引物序列

    Table  1.   Primer sequences of different genes in qPCR detection

    基因 引物序列(5'-3' 引物长度(bp)
    TAB1 Forward:5′- CGACGCGTTGGCGGCGCAGAGGAGGAGCTTGC -3′ 23
    Reverse:5′- ACGCGTCGAC TACCCTGGGGTCAGGCTGCCCAGGA -3'
    IκB Forward:5′- TGAAAAACTGGATGTCCCTGTATG -3′ 22
    Reverse:5′- GGCCCATTTCCCGCCCCCTGGCAT -3′
    GAPDH
    Forward: 5'- GTACGACTCACTATAGGGA -3′
    Reverse: 5'- AGGTCCACCACCCTGTTGCTGT -3′
    20
    下载: 导出CSV
  • [1] Li Y, Cao Y, Xiao J, et al. Inhibitor of apoptosis-stimulating protein of p53 inhibits ferroptosis and alleviates intestinal ischemia/reperfusion-induced acute lung injury[J]. Cell Death Differ, 2020, 27(9): 2635-2650. doi: 10.1038/s41418-020-0528-x
    [2] He Y Q, Zhou C C, Yu L Y, et al. Natural product derived phytochemicals in managing acute lung injury by multiple mechanisms[J]. Pharmacol Res, 2021, 163: 105224. doi: 10.1016/j.phrs.2020.105224
    [3] Tang J, Xu L, Zeng Y, et al. Effect of gut microbiota on LPS-induced acute lung injury by regulating the TLR4/NF-kB signaling pathway[J]. Int Immunopharmacol, 2021, 91: 107272. doi: 10.1016/j.intimp.2020.107272
    [4] Xiao K, He W, Guan W, et al. Mesenchymal stem cells reverse EMT process through blocking the activation of NF-κB and Hedgehog pathways in LPS-induced acute lung injury[J]. Cell Death Dis, 2020, 11(10): 863. doi: 10.1038/s41419-020-03034-3
    [5] liu C, Yin Z, Feng T, et al. An integrated network pharmacology and RNA-Seq approach for exploring the preventive effect of Lonicerae japonicae Flos on LPS-induced acute lung injury[J]. J Ethnopharmacol, 2021, 264: 113364. doi: 10.1016/j.jep.2020.113364
    [6] Hu Y Z, Li X, Han R, et al. Molecular identification and expression analysis of TAB1 from orange-spotted grouper (Epinephelus coioides)[J]. Dev Comp Immunol, 2019, 90: 152-156. doi: 10.1016/j.dci.2018.09.014
    [7] Guesmi F, Prasad S, Tyagi A K, et al. Antinflammatory and anticancer effects of terpenes from oily fractions of Teucruim Alopecurus, blocker of IκBα kinase, through downregulation of NF-κB activation, potentiation of apoptosis and suppression of NF-κB-regulated gene expression[J]. Biomed Pharmacother, 2017, 95: 1876-1885. doi: 10.1016/j.biopha.2017.09.115
    [8] Sokolova O, Kähne T, Bryan K, et al. Interactome analysis of transforming growth factor-β-activated kinase 1 inHelicobacter pylori-infected cells revealed novel regulators tripartite motif 28 and CDC37[J]. Oncotarget, 2018, 9(18): 14366-14381. doi: 10.18632/oncotarget.24544
    [9] Li L, Zhang S, Wei L, et al. Anti-fibrotic effect of melittin on TRIM47 expression in human embryonic lung fibroblast through regulating TRIM47 pathway[J]. Life Sci, 2020, 256: 117893. doi: 10.1016/j.lfs.2020.117893
    [10] Zhan W, Zhang H, Su Y, et al. TRIM47 promotes HDM-induced bronchial epithelial pyroptosis by regulating NEMO ubiquitination to activate NF-κB/NLRP3 signaling[J]. Cell Biol Int, 2024, 48(8): 1138-1147. doi: 10.1002/cbin.12186
    [11] Qiao Q, Liu X, Yang T, et al. Nanomedicine for acute respiratory distress syndrome: The latest application, targeting strategy, and rational design[J]. Acta Pharm Sin B, 2021, 11(10): 3060-3091. doi: 10.1016/j.apsb.2021.04.023
    [12] Huang C Y, Deng J S, Huang W C, et al. Attenuation of lipopolysaccharide-induced acute lung injury by hispolon in mice, through regulating the TLR4/PI3K/Akt/mTOR and Keap1/Nrf2/HO-1 pathways, and suppressing oxidative stress-mediated ER stress-induced apoptosis and autophagy[J]. Nutrients, 2020, 12(6): 1742. doi: 10.3390/nu12061742
    [13] Wei S, Zhao Q, Zheng K, et al. GFAT1-linked TAB1 glutamylation sustains p38 MAPK activation and promotes lung cancer cell survival under glucose starvation[J]. Cell Discov, 2022, 8: 77.
    [14] Kumazoe M, Ogawa F, Hikida A, et al. Plant miRNA osa-miR172d-5p suppressed lung fibrosis by targeting Tab1[J]. Scientific Reports, 2023, 13(1): 2128. [14] Kumazoe M, Ogawa F, Hikida A, et al. Plant miRNA Osa-miR172d-5p suppressed lung fibrosis by targeting Tab1[J]. Sci Rep, 2023, 13: 2128.
    [15] Dong Z, Li B, Wang X. MicroRNA-889 plays a suppressive role in cell proliferation and invasion by directly targeting TAB1 in non-small cell lung cancer[J]. Mol Med Report, 2019, 20(1): 261-269.
    [16] 王瑞哲, 寇育乐, 贺宏伟. 肺肠合治法对LPS诱导急性肺损伤大鼠NF-κB炎症通路和巨噬细胞极化的影响[J]. 中国实验方剂学杂志, 2022, 28(8): 93-100. doi: 10.13422/j.cnki.syfjx.20211804
    [17] Wu D, Zhang H, Wu Q, et al. Sestrin 2 protects against LPS-induced acute lung injury by inducing mitophagy in alveolar macrophages[J]. Life Sci, 2021, 267: 118941. doi: 10.1016/j.lfs.2020.118941
    [18] Wei S, Zhao Q, Zheng K, et al. GFAT1-linked TAB1 glutamylation sustains p38 MAPK activation and promotes lung cancer cell survival under glucose starvation[J]. Cell Discov, 2022, 8: 77.
    [19] Hou L, Zhang J, Liu Y, et al. MitoQ alleviates LPS-mediated acute lung injury through regulating Nrf2/Drp1 pathway[J]. Free Radic Biol Med, 2021, 165: 219-228. doi: 10.1016/j.freeradbiomed.2021.01.045
    [20] Li L, Zhang S, Wei L, et al. Anti-fibrotic effect of melittin on TRIM47 expression in human embryonic lung fibroblast through regulating TRIM47 pathway[J]. Life Sci, 2020, 256: 117893. doi: 10.1016/j.lfs.2020.117893
    [21] Ju M, Liu B, He H, et al. MicroRNA-27a alleviates LPS-induced acute lung injury in mice via inhibiting inflammation and apoptosis through modulating TLR4/MyD88/NF-κB pathway[J]. Cell Cycle, 2018, 17(16): 2001-2018. doi: 10.1080/15384101.2018.1509635
    [22] Mussbacher M, Salzmann M, Brostjan C, et al. Cell type-specific roles of NF-κB linking inflammation and thrombosis[J]. Front Immunol, 2019, 10: 85. doi: 10.3389/fimmu.2019.00085
    [23] Wei S, Zhao Q, Zheng K, et al. GFAT1-linked TAB1 glutamylation sustains p38 MAPK activation and promotes lung cancer cell survival under glucose starvation[J]. Cell Discov, 2022, 8: 77.
  • [1] 李青, 耿薇, 张凤喜, 张丹.  孕妇阴道微生态失衡与炎症因子水平预测妊娠结局的临床研究, 昆明医科大学学报. 2026, 47(1): 1-7.
    [2] 刘丹, 白上林, 吴旭, 任王胜, 吴先余, 曾航, 许果.  复杂疑难气胸患者在超声引导下胸腔闭式引流术的治疗效果及对炎症因子、肺功能的影响, 昆明医科大学学报. 2026, 47(): 1-12.
    [3] 张凯歌, 李若楠, 陈家林, 冯德萍, 刘宇.  绝经后T2DM患者炎症因子与骨密度和β-CTX的相关性及诊断效能分析, 昆明医科大学学报. 2025, 46(9): 81-88. doi: 10.12259/j.issn.2095-610X.S20250909
    [4] 林荣梅, 刘邦燕, 陈杨君, 杨艳, 金媛, 杨永锐, 陆霓虹.  多项临床指标与肺结节良恶性的相关性, 昆明医科大学学报. 2025, 46(7): 101-109. doi: 10.12259/j.issn.2095-610X.S20250712
    [5] 聂绍燕, 范苏苏, 朱钰珊, 彭学容, 王洋, 张旋.  喜炎平注射液对脂多糖诱导的急性肺损伤小鼠的保护作用, 昆明医科大学学报. 2024, 45(11): 31-37. doi: 10.12259/j.issn.2095-610X.S20241105
    [6] 杨金润, 赵欢欢, 吴志聪, 余戈蕊, 马岚, 陈玉芬, 解谩伊, 董玉.  化湿润睛汤通过调控COX-2、TNF-α和 IL-6蛋白改善去势雄性干眼病大鼠的炎症反应, 昆明医科大学学报. 2023, 44(11): 38-46. doi: 10.12259/j.issn.2095-610X.S20231106
    [7] 赵琨, 肖云, 杨纯, 严志凌, 董敏娜, 向柄全, 肖茗耀.  白细胞介素-4在脂多糖诱导急性肺损伤模型中的保护作用, 昆明医科大学学报. 2022, 43(8): 41-46. doi: 10.12259/j.issn.2095-610X.S20220805
    [8] 徐键, 李乐, 黄艳丽, 桂金沭, 李娅红, 马蕾.  炎症因子TNF-α、IL-在慢性血栓栓塞性肺动脉高压患者中的表达及临床意义, 昆明医科大学学报. 2021, 42(6): 119-123. doi: 10.12259/j.issn.2095-610X.S20210631
    [9] 郭欣, 赖薇, 李艳华, 陈韵如, 叶傲然, 唐顺松, 罗静.  磷脂酶Cε1在1型糖尿病大鼠病理性神经痛中的作用初探, 昆明医科大学学报. 2021, 42(2): 23-28. doi: 10.12259/j.issn.2095-610X.S20210206
    [10] 黄斌, 赵瑞华, 费启华, 李建伟, 支燕, 刘文军, 李晓庆.  乌司他丁联合连续性肾脏替代疗法治疗重症烧伤患者的效果及对炎症因子、28 d全因死亡率的影响, 昆明医科大学学报. 2020, 41(11): 109-113. doi: 10.12259/j.issn.2095-610X.S20201102
    [11] 杨柳, 屈启才, 陈瑞, 角述兰, 思永玉, 周华.  右美托咪定对烟雾吸入性肺损伤大鼠炎症反应的影响, 昆明医科大学学报. 2020, 41(11): 30-37. doi: 10.12259/j.issn.2095-610X.S20201124
    [12] 洪旭华.  结核药联合利福喷丁对肺结核患者免疫功能、炎症因子、VEGF及MMP-9的影响, 昆明医科大学学报. 2016, 37(02): -.
    [13] 滕琰.  血液灌流治疗脓毒症时对炎症因子的影响, 昆明医科大学学报. 2016, 37(05): -.
    [14] 李俊杰.  脑缺血-再灌注损伤大鼠脑组织中TNF-α,IL-6和IL-1β的表达, 昆明医科大学学报. 2016, 37(09): -.
    [15] 王晔.  核结合因子-κB及bcl-2/bax在PQ中毒鼠肺组织中的表达, 昆明医科大学学报. 2015, 36(03): -1.
    [16] 奎莉越.  降钙素基因相关肽对LPS诱导肺上皮细胞炎症因子的影响, 昆明医科大学学报. 2015, 36(05): -.
    [17] 曲艳.  百草枯中毒鼠肺组织中TM-EPCR mRNA与IL-1β的表达, 昆明医科大学学报. 2014, 35(04): -.
    [18] 王南.  百草枯中毒鼠肺组织损伤及血红素氧合酶-1的表达, 昆明医科大学学报. 2014, 35(08): -1.
    [19] 刘荣.  短暂高水平呼气末正压肺复张对ARDS患者氧合和血液动力学的影响, 昆明医科大学学报. 2011, 32(12): -.
    [20] 董彦琴.  灯盏花素肺部给药抗LPS致大鼠急性肺损伤的作用研究, 昆明医科大学学报. 2007, 28(06): 1-1.
  • 加载中
图(5) / 表(1)
计量
  • 文章访问数:  55
  • HTML全文浏览量:  95
  • PDF下载量:  32
  • 被引次数: 0
出版历程
  • 收稿日期:  2025-04-25
  • 网络出版日期:  2025-12-11

目录

    /

    返回文章
    返回