留言板

尊敬的读者、作者、审稿人, 关于本刊的投稿、审稿、编辑和出版的任何问题, 您可以本页添加留言。我们将尽快给您答复。谢谢您的支持!

姓名
邮箱
手机号码
标题
留言内容
验证码

大黄素对右旋糖酐硫酸钠诱导的小鼠溃疡性结肠炎的治疗作用及机制研究

王庆泊 乔子洋 赵志萍 宋文奇 司志燕

王庆泊, 乔子洋, 赵志萍, 宋文奇, 司志燕. 大黄素对右旋糖酐硫酸钠诱导的小鼠溃疡性结肠炎的治疗作用及机制研究[J]. 昆明医科大学学报, 2025, 46(9): 72-80. doi: 10.12259/j.issn.2095-610X.S20250908
引用本文: 王庆泊, 乔子洋, 赵志萍, 宋文奇, 司志燕. 大黄素对右旋糖酐硫酸钠诱导的小鼠溃疡性结肠炎的治疗作用及机制研究[J]. 昆明医科大学学报, 2025, 46(9): 72-80. doi: 10.12259/j.issn.2095-610X.S20250908
Qingbo WANG, Ziyang QIAO, Zhiping ZHAO, Wenqi SONG, Zhiyan SI. Therapeutic Effects and Mechanisms of Emodin on Dextran Sulfate Sodium-Induced Ulcerative Colitis in Mice[J]. Journal of Kunming Medical University, 2025, 46(9): 72-80. doi: 10.12259/j.issn.2095-610X.S20250908
Citation: Qingbo WANG, Ziyang QIAO, Zhiping ZHAO, Wenqi SONG, Zhiyan SI. Therapeutic Effects and Mechanisms of Emodin on Dextran Sulfate Sodium-Induced Ulcerative Colitis in Mice[J]. Journal of Kunming Medical University, 2025, 46(9): 72-80. doi: 10.12259/j.issn.2095-610X.S20250908

大黄素对右旋糖酐硫酸钠诱导的小鼠溃疡性结肠炎的治疗作用及机制研究

doi: 10.12259/j.issn.2095-610X.S20250908
基金项目: 河北省中医药管理局科研计划项目(2024194)
详细信息
    作者简介:

    王庆泊(1985~),男,河北邯郸人,硕士研究生,主治医师,主要从事消化道疾病的基础与临床研究工作

    通讯作者:

    乔子洋,E-mail:13786107943@163.com

  • 中图分类号: R285.5

Therapeutic Effects and Mechanisms of Emodin on Dextran Sulfate Sodium-Induced Ulcerative Colitis in Mice

  • 摘要:   目的  探讨大黄素(emodin,EMO)对右旋糖酐硫酸钠(dextran sodium sulfate,DSS)诱导小鼠溃疡性结肠炎(ulcerative colitis,UC)的治疗作用及机制。  方法  DSS诱导UC小鼠模型,检测体重、结肠长度和组织病理学变化;酶联免疫吸附测定(enzyme-linked immunosorbent assay,ELISA)检测肿瘤坏死因子-α(tumor necrosis factor-α,TNF-α)、白细胞介素-1β(interleukin-1β,IL-1β)、白细胞介素-6(interleukin-6,IL-6)、白细胞介素-10(interleukin-10,IL-10)及髓过氧化物酶(myeloperoxidase,MPO)的水平;通过蛋白质免疫印迹(Western blot)分析Toll样受体4(toll-like receptor 4,TLR4)/髓样分化因子88(myeloid differentiation factor 88,MyD88)/核因子κB(nuclear factor-kappa B,NF-κB)信号通路相关蛋白的表达;利用流式细胞术评估辅助性T细胞17(t helper 17,Th17)与调节性T细胞(regulatory t cell,Treg)的比例;16S rDNA测序评估肠道菌群组成。  结果  与正常组相比,DSS组小鼠体重显著下降(P < 0.001)、结肠长度缩短并出现明显组织学损伤(P < 0.001)。EMO干预尤其是高剂量组可剂量依赖性改善体重和结肠损伤(P < 0.05)。ELISA显示,EMO降低TNF-α、IL-1β、IL-6并升高IL-10水平(P < 0.05);Western blot提示EMO抑制TLR4/MyD88/NF-κB通路异常激活并恢复IκBα表达(P < 0.05);流式检测发现EMO降低Th17比例、升高Treg比例(P < 0.05);菌群分析显示EMO改善DSS诱导的菌群失调,增加有益菌相对丰度(P < 0.05)。  结论  EMO通过调控TLR4/MyD88/NF-κB通路、恢复Th17/Treg平衡及维持菌群稳态,有效改善DSS诱导的UC炎症反应和肠道损伤。
  • 图  1  EMO治疗对DSS诱导小鼠体重和结肠长度的影响($\bar x \pm s $,n = 3)

    A:不同处理组小鼠体重变化;B:不同处理组小鼠结肠外观形态;C:不同处理组小鼠结肠长度定量分析。与Control组相比,**P < 0.01,***P < 0.001;与DSS组相比,#P < 0.05,###P < 0.001。

    Figure  1.  Effects of EMO treatment on body weight and colon length in DSS induced mice ($\bar x \pm s $,n = 3)

    图  2  各组小鼠结肠组织病理学变化(H&E染色,×100)

    黑色箭头指示隐窝结构(肠腺);红色箭头指示炎性细胞聚集区域;蓝色箭头标记固有层内特定结构;红/黑色三角形箭头标注上皮细胞层。标尺:100 μm。

    Figure  2.  Histopathological changes in colonic tissues of mice from different groups (H&E staining,×100)

    图  3  各组小鼠结肠组织中炎症因子及MPO活性水平变化($\bar x \pm s $,n = 8)

    A:各组结肠组织中IL-1β含量比较;B:各组结肠组织中TNF-α含量比较;C:各组结肠组织中IL-6含量比较;D:各组结肠组织中MPO含量比较;E:各组IL-10含量比较。与Control组相比,*P < 0.05;与DSS组相比,#P < 0.05。

    Figure  3.  Changes in inflammatory cytokines and MPO activity in colonic tissues of mice from different groups ($\bar x \pm s $,n = 8)

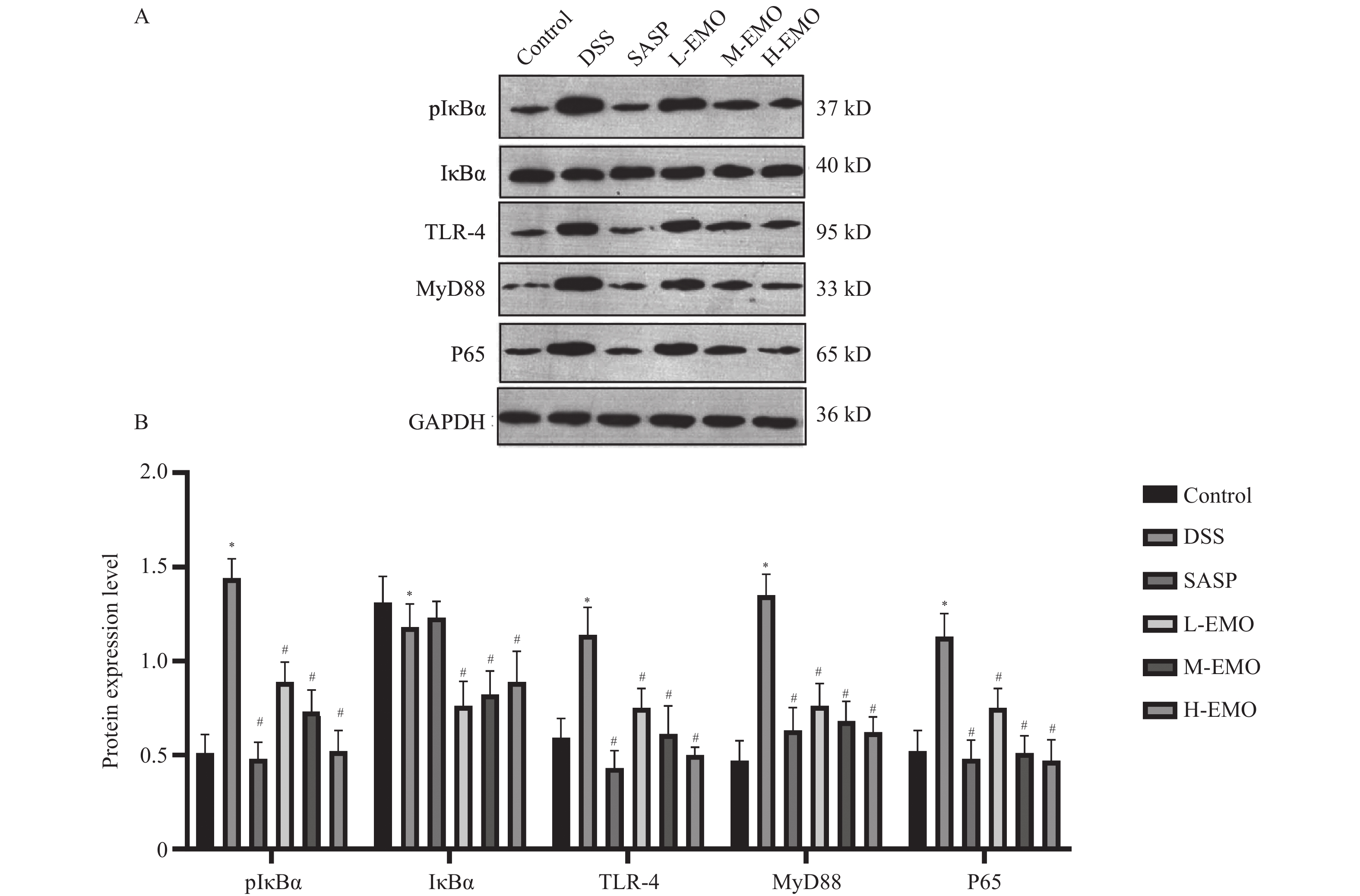
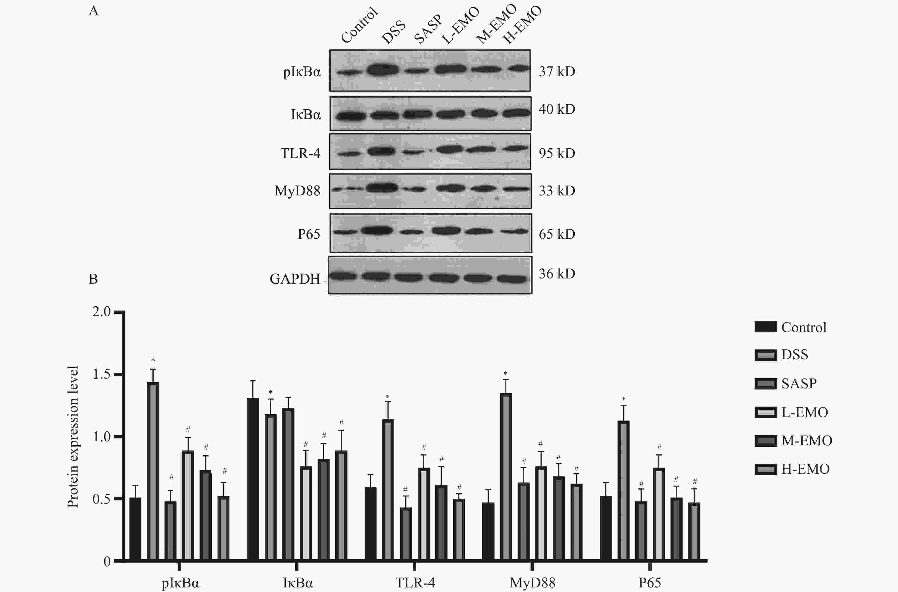
    图  4  EMO对结肠炎小鼠TLR4/MyD88/NF-κB通路相关蛋白表达的影响

    A:各组蛋白电泳图;B:各个基因p-IκBα、IκBα、TLR-4、MyD88、p65蛋白统计学分析。与Control组相比,*P < 0.05;与DSS组相比,#P < 0.05。

    Figure  4.  Effect of EMO on the expression of TLR4/MyD88/NF-κB pathway-related proteins in colonic tissues of mice with colitis

    图  5  不同处理组小鼠肠道菌群在门和属水平的相对丰度分布

    A:小鼠肠道菌群在门水平的相对丰度分布;B:小鼠肠道菌群在属水平的相对丰度分布。

    Figure  5.  Relative abundance distribution of gut microbiota at the phylum and genus levels in different groups of mice

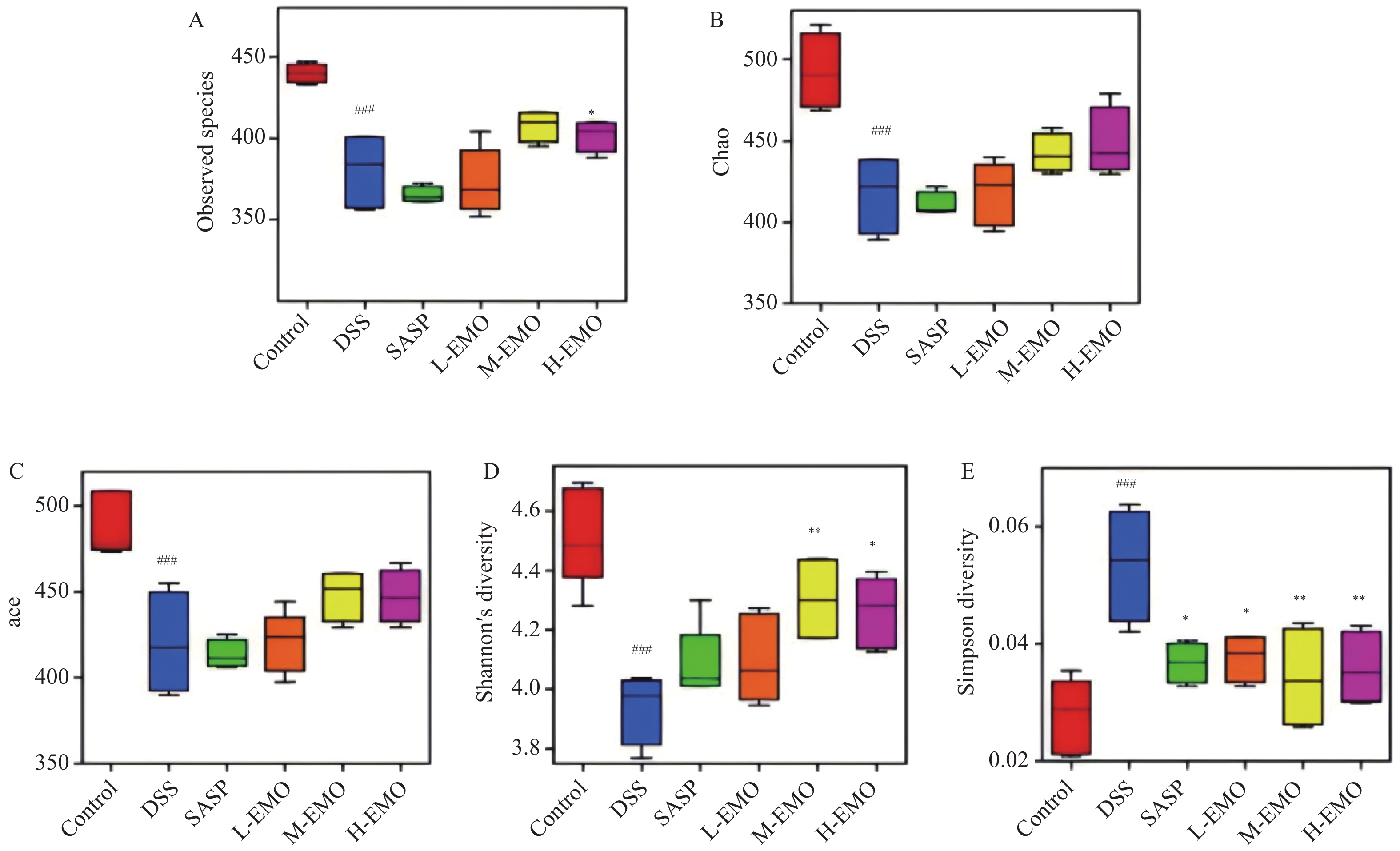
    图  6  各组小鼠肠道菌群α多样性指数比较

    A:各组observed species指数分析比较;B:各组chao指数分析比较;C:各组ace指数比较;D:各组Shannon指数分析比较;E:各组Simpson指数分析比较。与Control组相比,###P < 0.001;与DSS组相比,*P < 0.05,**P < 0.01。

    Figure  6.  Comparison of gut microbiota α-diversity indices among groups of mice

    图  7  肠道菌群β多样性PCoA分析

    Figure  7.  Principal coordinates analysis (PCoA) of gut microbiota β-diversity

    表  1  各组Th17和Tregs细胞比例($\bar x \pm s $/%,n = 8)

    Table  1.   Proportions of Th17 and Treg cells in each group ($\bar x \pm s $/%,n = 8)

    组别 Th17 Tregs
    Control 0.33 ± 0.03 4.17 ± 0.26
    DSS 0.52 ± 0.03* 3.60 ± 0.29*
    SASP 0.81 ± 0.02* 2.19 ± 0.30*
    L-EMO 0.64 ± 0.02# 3.54 ± 0.27#
    M-EMO 0.53 ± 0.02# 3.74 ± 0.14#
    H-EMO 0.50 ± 0.04# 3.90 ± 0.24#
    F 38.72 25.83
    P <0.001 <0.001
      与Control组相比,*P < 0.05;与DSS组相比,#P < 0.05。
    下载: 导出CSV

    表  2  各组小鼠肠道菌群在属水平的相对丰度变化($\bar x \pm s $/%,n = 8)

    Table  2.   Relative abundance of gut microbiota at the genus level in each group of mice ($\bar x \pm s $/%,n = 8)

    组别 小鼠杆菌属
    Muribaculaceae
    大肠杆菌-志贺菌属
    Escherichia-Shigella
    乳酸杆菌属
    Lactobacillus
    拟杆菌属
    Bacteroides
    Control 0.29 ± 0.05 0.005 ± 0.001 0.22 ± 0.03 0.030 ± 0.005
    DSS 0.19 ± 0.03* 0.150 ± 0.020* 0.06 ± 0.02* 0.180 ± 0.030*
    SASP 0.38 ± 0.06# 0.015 ± 0.005# 0.17 ± 0.03# 0.061 ± 0.010#
    L-EMO 0.55 ± 0.08# 0.006 ± 0.003# 0.12 ± 0.02# 0.063 ± 0.011#
    M-EMO 0.45 ± 0.07# 0.006 ± 0.001# 0.21 ± 0.03# 0.025 ± 0.002#
    H-EMO 0.46 ± 0.07# 0.001 ± 0.001# 0.17 ± 0.03# 0.071 ± 0.015#
    F 42.18 38.92 25.64 31.07
    P <0.001 <0.001 <0.001 <0.001
      与Control组相比,*P < 0.05;与DSS组相比,#P < 0.05。
    下载: 导出CSV
  • [1] Singh S, Dulai P S. Ulcerative colitis: clinical manifestations and management[J]. Yamada's Textbook Gastroenterol, 2022: 1248-1293.
    [2] Kaluzna A, Olczyk P, Komosinska-vasse K. The role of innate and adaptive immune cells in the pathogenesis and development of the inflammatory response in ulcerative colitis[J]. J Clin Med, 2022, 11(2): 400 doi: 10.3390/jcm11020400
    [3] Agrawal M, Allin K H, Petralia F, et al. Multiomics to elucidate inflammatory bowel disease risk factors and pathways[J]. Nat Rev Gastroenterol Hepatol, 2022, 19(6): 399-409. doi: 10.1038/s41575-022-00593-y
    [4] Hu C, Liao S, Lv L, et al. Intestinal immune imbalance is an alarm in the development of IBD[J]. Mediators Inflamm, 2023, 2023(1): 1073984.
    [5] Zhang C, Yang Y. Targeting toll-like receptor 4 (TLR4) and the NLRP3 inflammasome: Novel and emerging therapeutic targets for hyperuricaemia nephropathy[J]. Biomol. Biomed, 2024, 24(4): 688.
    [6] Saleh H A, Yousef M H, Abdelnaser A. The anti-inflammatory properties of phytochemicals and their effects on epigenetic mechanisms involved in TLR4/NF-κB-mediated inflammation[J]. Front Immunol, 2021, 12: 606069. doi: 10.3389/fimmu.2021.606069
    [7] Zheng S, Xue T, Wang B, et al. Chinese medicine in the treatment of ulcerative colitis: The mechanisms of signaling pathway regulations[J]. Am J Chin Med, 2022, 50(7): 1781-1798. doi: 10.1142/S0192415X22500756
    [8] Guo M, Wang X. Pathological mechanism and targeted drugs of ulcerative colitis: A review[J]. Medicine (Baltimore), 2023, 102(37): e35020.
    [9] Yang Z, Lin S, Feng W, et al. A potential therapeutic target in traditional Chinese medicine for ulcerative colitis: Macrophage polarization[J]. Front Pharmacol, 2022, 13: 999179. doi: 10.3389/fphar.2022.999179
    [10] Wen Y, Yan P J, Fan P X, et al. The application of rhubarb concoctions in traditional Chinese medicine and its compounds, processing methods, pharmacology, toxicology and clinical research[J]. Front Pharmacol, 2024, 15: 1442297. doi: 10.3389/fphar.2024.1442297
    [11] Zeng Y, Liu X, Yi Q, et al. Free total rhubarb anthraquinones protect intestinal mucosal barrier of SAP rats via inhibiting the NLRP3/caspase-1/GSDMD pyroptotic pathway[J]. J Ethnopharmacol, 2024, 326: 117873. doi: 10.1016/j.jep.2024.117873
    [12] Du L, Hu X, Ren X, et al. Emodin Alleviates the Th17/Treg Imbalance by Targeting Myd88/NF-κB Signaling in Subacute Thyroiditis[J]. Rev Bras Farmacogn, 2023, 33(4): 847-855. doi: 10.1007/s43450-023-00368-9
    [13] Lin Y, Xiong W, Xiao S, et al. Pharmacoproteomics reveals the mechanism of Chinese dragon's blood in regulating the RSK/TSC2/mTOR/ribosome pathway in alleviation of DSS-induced acute ulcerative colitis[J]. J Ethnopharmacol, 2020 Dec 5;263: 113221.
    [14] Yang C, Merlin D. Unveiling colitis: A journey through the dextran sodium sulfate-induced model[J]. Inflamm Bowel Dis, 2024, 30(5): 844-853. doi: 10.1093/ibd/izad312
    [15] Yu S, Qian H. Deoxyschizandrin treats mice with ulcerative colitis possibly via the TLR4/NF-κB signaling pathway[J]. Am J Transl Res, 2021, 13(4): 3856.
    [16] Xu H, Zhu J, Lin X, et al. A comprehensive review of traditional chinese medicine in the management of ulcerative colitis[J]. Am J Chin Med, 2025, 53(02): 435-473. doi: 10.1142/S0192415X2550017X
    [17] Yuan S, Wang Q, Li J, et al. Inflammatory bowel disease: an overview of Chinese herbal medicine formula-based treatment[J]. Chin Med, 2022, 17(1): 74. doi: 10.1186/s13020-022-00633-4
    [18] Roy S, Dhaneshwar S. Role of prebiotics, probiotics, and synbiotics in management of inflammatory bowel disease: Current perspectives[J]. World J Gastroenterol, 2023, 29(14): 2078-2100.
    [19] Huang Q T, Ma X D, Zhang J N, et al. A hepatic oxidative metabolite of palmatine ameliorates DSS-induced ulcerative colitis by regulating macrophage polarization through AMPK/NF-κB pathway[J]. Am J Chin Med, 2025, 53(1): 285-307. doi: 10.1142/S0192415X25500119
    [20] Qin Z, Tang R, Liang J, et al. Berberine, a natural alkaloid: advances in its pharmacological effects and mechanisms in the treatment of autoimmune diseases[J]. Int Immunopharmacol, 2024, 137: 112422. doi: 10.1016/j.intimp.2024.112422
    [21] Yang F, Gap R, Luo X, et al. Berberine influences multiple diseases by modifying gut microbiota[J]. Front Nutr, 2023, 10: 1187718. doi: 10.3389/fnut.2023.1187718
  • [1] 张瀚予, 罗娟, 董明志, 陈杞殷, 张峰睿, 郭蕊, 童俊英, 缪应雷.  英夫利西单抗及维得利珠单抗治疗中重度溃疡性结肠炎的回顾性队列研究, 昆明医科大学学报.
    [2] 王艾云, 王雨婷, 蔡静, 倪若妍, 罗彩莹, 喻卓, 陈鹏.  肠道菌群及其代谢产物在动脉粥样硬化发生发展中的作用, 昆明医科大学学报. doi: 10.12259/j.issn.2095-610X.S20241223
    [3] 李波, 孙杨, 缪应雷.  炎症性肠病的肠道微生态变化及对策, 昆明医科大学学报. doi: 10.12259/j.issn.2095-610X.S20240401
    [4] 张瀚予, 罗娟, 董明志, 陈杞殷, 张峰睿, 郭蕊, 童俊英, 缪应雷.  英夫利西单抗及维得利珠单抗治疗中重度溃疡性结肠炎的回顾性队列研究, 昆明医科大学学报. doi: 10.12259/j.issn.2095-610X.S20241006
    [5] 聂忠顺, 缪应雷.  生物制剂背景下粪菌移植对炎症性肠病的应用前景, 昆明医科大学学报. doi: 10.12259/j.issn.2095-610X.S20241023
    [6] 饶梅子, 蒋心怡, 缪佳蓉.  溃疡性结肠炎合并EB病毒和巨细胞病毒感染的危险因素分析, 昆明医科大学学报. doi: 10.12259/j.issn.2095-610X.S20241113
    [7] 李春玲, 李玲华, 韩旭, 杨洁, 张衡.  针刺募穴联合口服美沙拉嗪治疗溃疡性结肠炎的临床观察, 昆明医科大学学报. doi: 10.12259/j.issn.2095-610X.S20240311
    [8] 牛俊杰, 姬文娟, 于拽拽.  肠道菌群、血清ET、PCT水平与脓毒症病情程度、预后的相关性, 昆明医科大学学报. doi: 10.12259/j.issn.2095-610X.S20240420
    [9] 李媛媛, 宋亚贤, 徐玉善, 曾晓甫, 袁惠, 徐兆, 江艳.  肠道菌群代谢物TMAO与非酒精性脂肪性肝病的关系, 昆明医科大学学报. doi: 10.12259/j.issn.2095-610X.S20240210
    [10] 邓绍友, 赵玉兰, 王佩锦, 李蓉, 李进涛, 郑红.  恒古骨伤愈合剂联合广谱抗生素改善db/db小鼠胰岛素抵抗和肠道菌群, 昆明医科大学学报. doi: 10.12259/j.issn.2095-610X.S20230530
    [11] 梁彩红, 孟明耀, 李欣欣, 熊晶晶, 李檬, 刘梅, 侯宗柳, 黄永坤.  肠道菌群代谢物脱氧胆酸对人脐带间充质干细胞hUC-MSCs增殖及细胞周期的影响, 昆明医科大学学报. doi: 10.12259/j.issn.2095-610X.S20230402
    [12] 李丹, 万绪莲, 李律宇, 云宇, 罗光云, 刘韦兵, 林公府, 李宁, 黎勇坤, 段为钢.  尿酸酶缺失大鼠肠道菌群的变化, 昆明医科大学学报. doi: 10.12259/j.issn.2095-610X.S20230205
    [13] 李露, 田云粉.  肠道菌群与儿童非酒精性脂肪性肝病的研究进展, 昆明医科大学学报. doi: 10.12259/j.issn.2095-610X.S20230708
    [14] 梁桂丽, 李灿美, 邢成锋, 董运龙, 王娟, 雷梓, 缪应雷, 兰丹凤.  GC-C-/-小鼠在DSS诱导下肠道炎症损伤的变化, 昆明医科大学学报. doi: 10.12259/j.issn.2095-610X.S20220712
    [15] 刘四香, 黄永坤, 王明英, 胡红卫, 马敏, 凌昱.  功能性便秘患儿的肠道菌群分析及治疗干预, 昆明医科大学学报. doi: 10.12259/j.issn.2095-610X.S20220309
    [16] 刘晓琳, 陈晓翠, 孙杨, 李敏丽, 缪应雷.  不同粪菌移植途径治疗溃疡性结肠炎患者的临床疗效及安全性评价, 昆明医科大学学报. doi: 10.12259/j.issn.2095-610X.S20220612
    [17] 梁睿, 淳于纬训, 沈焘, 孙乐, 李云峰.  肠道菌群和免疫在结直肠肿瘤中作用研究进展, 昆明医科大学学报.
    [18] 薛平燕, 江艳, 徐玉善, 袁惠, 李璇, 宋亚贤, 刘华.  肠道菌群结构在非酒精性脂肪性肝病患者中的改变, 昆明医科大学学报. doi: 10.12259/j.issn.2095-610X.S20201120
    [19] 陈晓红.  延续性护理干预对溃疡性结肠炎患者出院后心理素质及用药依从性的影响, 昆明医科大学学报.
    [20] 李红丽.  蒙脱石散和美沙拉秦对溃疡性结肠炎大鼠血中VIP、SP、5-HT的影响, 昆明医科大学学报.
  • 加载中
图(7) / 表(2)
计量
  • 文章访问数:  183
  • HTML全文浏览量:  100
  • PDF下载量:  14
  • 被引次数: 0
出版历程
  • 收稿日期:  2025-03-25
  • 网络出版日期:  2025-09-16
  • 刊出日期:  2025-09-25

目录

    /

    返回文章
    返回